网站首页  词典首页


请输入您要查询的字词:

 

字词 丁碘桂酸
类别 中英文字词句释义及详细解析
释义 丁碘桂酸

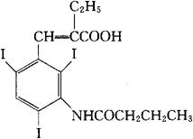
C15H16I3NO3=639.02

CAS-1233-53-0

2-(3-丁酰胺基-3,4,6-三碘苯基亚甲基)丁酸。

2-(3-Butyramido-3,4,6-triiododophenylmethylene)butyric acid.

2-[(2,4,6-三碘-3-[(1-氧丁基)氨基]苯基]亚甲基丁酸。

2-[(2,4,6-Triiodo-3-[(1-oxobutyl)amino]phenyl]methylene butanic acid.

诊断用药胆造影剂。

必那来约迪。

Bunamiodyl,Orabilex,Orabilix,Beniodyl.

INN,BAN.

随便看

 

离鸟网收录3541549条中英文词条,其功能与新华字典、现代汉语词典、牛津高阶英汉词典等各类中英文词典类似,基本涵盖了全部常用中英文字词句的读音、释义及用法,是语言学习和写作的有利工具。

 

Copyright © 2004-2024 vtrois.com All Rights Reserved
更新时间:2026/4/17 17:55:15