网站首页  词典首页


请输入您要查询的字词:

 

字词 丁硫妥钠
类别 中英文字词句释义及详细解析
释义 丁硫妥钠

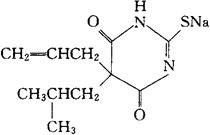
C11H15N2NaO2S=262.31

CAS-510-90-7

2,3-二氢-5-(2-甲基丙基)-5-(2-丙烯基)-2-硫代-4,6-(1H,5H)-嘧啶二酮单钠盐。

2,3-Dihydro-5-(2-methylpropyl)-5-(2-propenyl)-2-thioxo-4,6(1H,5H)-pyrimidinedione monosodium salt.

5-烯丙基-5-异丁基-2-硫代巴比土酸钠盐。

5-Allyl-5-isobutyl-2-thiobarbituric acid sodium salt.

麻醉药。

Buthalitone Sodium,Thialbutone Sodium,Baytinal,Thialisobumalnatrium,Ulbreval.

INN,BAN(Buthalitone),USAN,MI.

随便看

 

离鸟网收录3541549条中英文词条,其功能与新华字典、现代汉语词典、牛津高阶英汉词典等各类中英文词典类似,基本涵盖了全部常用中英文字词句的读音、释义及用法,是语言学习和写作的有利工具。

 

Copyright © 2004-2024 vtrois.com All Rights Reserved
更新时间:2026/4/19 19:13:04