网站首页  词典首页


请输入您要查询的字词:

 

字词 头孢菌素类抗生素
类别 中英文字词句释义及详细解析
释义
头孢菌素类抗生素

头孢菌素类抗生素

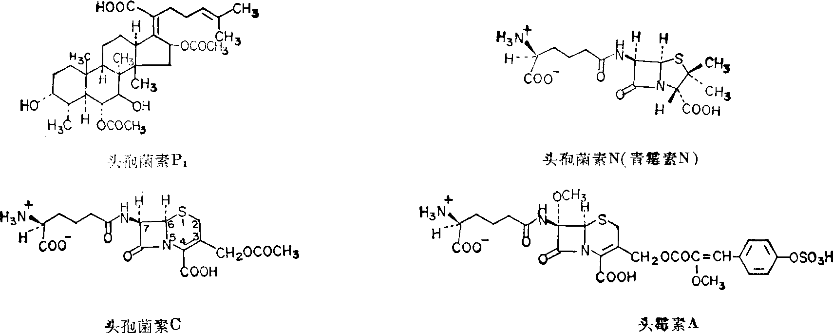
头孢菌素类抗生素是含有头孢烯母核的 β 内酰胺类抗生素。由于半合成工作的成功,近年出现很多临床上有效的新品种,是当代进展很快的一类抗细菌抗生素。头孢菌素(cephalosporin)是1945年Brotzu从撒丁海岸阴沟出口处分离出来的一株头孢子菌(Cephalosporiumacremonium产生的抗生素。为多组分的物质,其中头孢菌素P1~P5是具有甾体碳架的抗生素。头孢菌素N为6-氨基青霉烷酸被D-α-氨基己二酸酰化的产物,所以又称青霉素N。1955年Newton与Abraham由粗制的头孢菌素N中分离出具有紫外吸收峰260nm的另一组分,称为头孢菌素C,其侧链与青霉素N相同,但其主核部分不同,系由β内酰胺环与四氢噻嗪环并联而成 (图1)。头孢菌素P1~P5只抑制革兰阳性细菌,无实用价值。头孢菌素C抗菌作用很弱,但对酸的稳定性优于青霉素,而且不易被蜡样芽胞杆菌与金黄色葡萄球菌产生的青霉素酶分解,随即引起人们的重视,成为制备半合成头孢菌素的重要原料。用化学方法或酶解方法除去头孢菌素C的侧链,或直接由微生物发酵,可得到主核部分即7-氨基头孢烷酸(7-aminocephalosporanic acid,7-ACA),它本身没有抗菌活性,通过酰化7位的氨基或同时改造3位,可制得抗菌谱广,抗菌作用强,对β 内酰胺酶稳定,在体内不易被代谢的半合成头孢菌素。1963年Morin等研究成功用青霉素转化成头孢菌素。1966年Wood-ward等完成了头孢菌素C的全合成。1971年Nagarajan等发现一些链霉菌除产生头孢菌素C外,还产生在7位上带有甲氧基的头孢菌素,总称为头霉素(cephamycin)。它们的抗菌谱较广,而且对青霉素与头孢菌素的耐药菌也有作用。其后化学工作者研究了向头孢菌素主核的7位导入烷氧基的方法,使半合成头孢菌素的结构改造工作,有了更多的途径。到目前为止,在制得的大约20,000~25,000种半合成衍生物中已投入临床使用和正在有成效地进行临床试验的已近50种。头孢菌素的分类有多种方法如按化学结构分类、临床药理分类、对β-内酰胺酶的耐受性、抗菌谱或综合几种作用来分类,例如根据它们的抗菌作用、对β-内酰胺酶的稳定性、给药途径与药代动力学性质来分类,分为下列四组:

表1 第一组头孢菌素

图1 头孢菌素类与头霉素类抗生素的化学结构

表2 第二组头孢菌素

表3 第三组头孢菌素


第一组: 对革兰阳性与阴性细菌具有广泛的抗菌谱,对大肠杆菌、克雷伯菌与革兰阴性球菌也有作用。能耐金黄色葡萄球菌产生的β-内酰胺酶,但对革兰阴性杆菌产生的 β 内酰胺酶不稳定。头孢菌素结构中3位的乙酰氧甲基,在体内可被酯酶水解成低活性的代谢产物。按给药途径,又可分为注射与口服两个小组,前者用于治疗革兰阳性球菌(葡萄球菌、链球菌、肺炎球菌等)、革兰阳性杆菌(炭疽杆菌、破伤风杆菌、梭状芽胞杆菌、白喉杆菌、李司忒菌等)、革兰阴性球菌(脑膜炎双球菌、淋病双球菌等)和一些革兰阴性杆菌(大肠杆菌、肺炎杆菌、奇异变形杆菌等)引起的严重感染,如败血症、呼吸道感染、尿路感染、腹膜炎、心内膜炎等。后者口服吸收良好,能在血液与尿中形成较高的浓度,但其抗菌活性不如前者,只适用于治疗敏感菌所引起的轻度或中度感染(表1)。
第二组: 对β内酰胺酶稳定,除对上述第一组头孢菌素敏感菌有较强作用外,对更多的革兰阴性杆菌如吲哚阳性变形杆菌等亦有作用,有的还对脆性拟杆菌等有抗菌作用(表2)。
第三组: 对 β 内酰胺酶特别是对革兰阴性杆菌产生的β内酰酶高度稳定,对所有的或至少是绝大多数的肠道细菌都有很高活性,而且对绿脓杆菌表现中度乃至良好抗菌活性。它们对革兰阳性菌的作用不如上述两组头孢菌素。这组抗生素问世不久,尚未作为一线药物用于治疗常见感染,当前主要用于治疗:
❶全身状态不良的老人、免疫功能低下的患者以及恶性肿瘤、白血病、中性粒细胞减少症、结缔组织病等患者的严重感染。
❷绿脓杆菌感染。
❸严重的混合感染以及对多种抗生素耐药菌所引起的感染。在本组头孢菌素中,头孢噻肟烯是正在临床试验中的口服药,其余的都是注射剂(表3)。
第四组: 专用于抗绿脓杆菌的半合成头孢菌素。头孢磺苄啶 (cefsulodin) 对绿脓杆菌有较强的作用,但对其他革兰阳性与阴性菌的抗菌活性都很弱。剂量为每日0.5~1g,分2~3次肌注或静注,重症患者可用至4g。

头孢磺苄啶


另外,又常根据抗菌谱将头孢菌素分为一、二、三代。第一代,广谱,对革兰阳性菌作用优于革兰阴性菌。能耐金葡菌产生的β-内酰胺酶,不耐革兰阴性菌产生的β-内酰胺酶。其代表的品种有头孢噻吩和头孢唑啉。第二代,广谱,抗阴性菌较广,对酶的稳定性优于第一代。其代表品种有头孢羟苄唑、头孢呋肟、头霉噻吩。第三代,广谱。抗阴性菌活力优于和谱广于第二代。对绿脓杆菌和肠杆菌属有很强活力。高度耐酶。但对革兰阳性菌作用不如第一代。其代表品种有头孢氨噻肟、头孢氧哌唑等。
关于头孢菌素C的生物合成已有较深入的研究。头孢菌素类抗生素的抗菌作用机理与青霉素相同,是抑制细菌细胞壁的合成。细菌对头孢菌素类抗生素的耐药机理,主要是由于这些细菌产生头孢菌素酶,使β内酰胺环水解开裂所致。
☚ 青霉素类抗生素   β内酰胺类抗生素 ☛
00005593
随便看

 

离鸟网收录3541549条中英文词条,其功能与新华字典、现代汉语词典、牛津高阶英汉词典等各类中英文词典类似,基本涵盖了全部常用中英文字词句的读音、释义及用法,是语言学习和写作的有利工具。

 

Copyright © 2004-2024 vtrois.com All Rights Reserved
更新时间:2026/4/18 4:15:56