网站首页  词典首页


请输入您要查询的字词:

 

字词 一般分式不等式的解法
类别 中英文字词句释义及详细解析
释义 一般分式不等式的解法

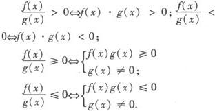
分式不等式的解法的基本思路是化归为一元一次或一元二次不等式组来求解,或化归为高次不等式来求解.

随便看

 

离鸟网收录3541549条中英文词条,其功能与新华字典、现代汉语词典、牛津高阶英汉词典等各类中英文词典类似,基本涵盖了全部常用中英文字词句的读音、释义及用法,是语言学习和写作的有利工具。

 

Copyright © 2004-2024 vtrois.com All Rights Reserved
更新时间:2026/4/18 7:43:58