网站首页  词典首页


请输入您要查询的字词:

 

字词 一致性系数(W)
类别 中英文字词句释义及详细解析
释义 一致性系数(W)

采用一致性(W)系数方法进行一致性评定时,用来表示一致性水平的系数。

采用一致性(W)系数法评定程序如下。

第一,先取一定数量的评定样品(假设7个样品),各编号(例如:甲、乙、丙、丁、戊、己、庚)。

样品与能力评定样品要求相同。

第二,由若干位检验员(假设5人,代号为一、二、三、四、五),对样品分别进行评定,按各自的判断结果排定其优劣秩位,而后列入样品优劣秩位表,标明其样品的优劣秩位。

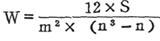
并计算出总秩位、平均秩数,每个样的总秩数与平均秩位差的平方和(对平均数的差方和S)。

式中m为检验员人数,n为被评定样品数。

对平均数的差方和S=每个样的总秩数与平均秩数之差的平方和。

第三,计算出秩位的一致性系数(W):

第四,最后评定:秩位的一致性系数值W在0~±1间变化,数值小或是0表示检验人员间的一致性差,或完全无关。

数值接近1,表示检验人员间的一致性良好。其统计显著性可利用对平均数的差方和S与其临界值的比较来检验(因m和n都为确定的常数)。

当差方和S≥信度1%的临界值Sa时,可认为诸检验员秩位肯定相关,即是“英雄所见略同”了。

对感官检验员之间的目光一致性进行评定的必要性在于:尽管在进行检验时有标准对照,但是由人的感官来进行,人为的因素比例较大,因此容易受到环境、情绪或感官机能变化的影响(经验丰富的检验员也有这种可能)。

如果检验员之间的评定结果差异较大,必然会对取得最后的一致意见形成障碍。因此,只有在评定机能均基本一致的条件下,才能进行正式的样品评定。

随便看

 

离鸟网收录3541549条中英文词条,其功能与新华字典、现代汉语词典、牛津高阶英汉词典等各类中英文词典类似,基本涵盖了全部常用中英文字词句的读音、释义及用法,是语言学习和写作的有利工具。

 

Copyright © 2004-2024 vtrois.com All Rights Reserved
更新时间:2026/4/19 3:18:41