| 释义 |
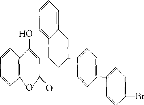
大隆brodifacoum第二代广谱抗凝血杀鼠剂。化学名称:3-[3-(4′-溴联苯)-4-基-1,2,3,4-四氢萘基]-4 -羟基香豆素。化学结构式如下。原药为灰白色结晶粉末,熔点228~232℃ ,蒸气压<133. 322×10-6 Pa。不溶于水和石油醚,易溶于氯仿,稍溶于丙酮、苯、乙醇、乙酸乙酯等有机溶剂。主要是阻碍凝血酶原的合成,损害微血管,导致大出血而死。中毒潜伏期一般3~5天。靶谱广,毒力强,具有急性和慢性杀鼠剂的双重优点。对第一代凝血杀鼠剂产生抗药性的害鼠,也有良好效果。杀灭各种家栖或野栖害鼠,使用毒饵或蜡块,一次性投饵或间隔投饵。大鼠急性口服LD50<0.72 mg/kg,兔急性经皮LD50为50 mg/kg,大鼠急性吸入LC50为0.5~5.0mg/m3。猪、狗、鸟类对大隆较敏感,易发生二次中毒。解毒药为维生索K。 
|