网站首页  词典首页


请输入您要查询的字词:

 

字词 一张蚕种产茧量
类别 中英文字词句释义及详细解析
释义 一张蚕种产茧量

指1张蚕种18000头蚕的产茧量。

一般熟蚕上蔟结茧,其中也有损耗2%上下,即17640条熟蚕结茧。茧也有大小厚薄,一般每个蚕茧为1.5~2.5g。

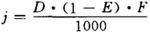
按此计算,其基本式:

式中 j——1张蚕种产茧量(kg);

D——1张蚕种熟蚕头数;

E——损耗(%);

F——每头蚕结茧量(g)。

例 设 D=18000头

1张蚕种18000头蚕的产茧量为35.28kg。据浙江省嘉兴市(含嘉善、平阴、海盐、海宁、桐乡县)《嘉兴丝绸志》载1981年张产为33.54kg,1985年为36.40kg,1990年为45.36kg。

随便看

 

离鸟网收录3541549条中英文词条,其功能与新华字典、现代汉语词典、牛津高阶英汉词典等各类中英文词典类似,基本涵盖了全部常用中英文字词句的读音、释义及用法,是语言学习和写作的有利工具。

 

Copyright © 2004-2024 vtrois.com All Rights Reserved
更新时间:2026/4/17 19:21:21