网站首页  词典首页


请输入您要查询的字词:

 

字词 一吨(t)生丝需要的干茧等用量
类别 中英文字词句释义及详细解析
释义 一吨(t)生丝需要的干茧等用量

是指生产1t生丝需用的干茧量、鲜茧量、桑园亩数、桑树株数、用桑叶量、蚕种张数和蚕的头数等。

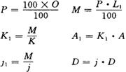
其基本式:

G1=J·G

式中

P——1t生丝的干茧用量(kg);

O——缫折(kg);

M——1t生丝的鲜茧用量(kg);

L1——烘折(kg);

K1——1t生丝所需桑园亩数(亩);

K——亩桑园产茧量(kg);

A1——1t生丝所需桑树株数(株);

A——亩桑数株数(株);

j1——1t生丝所需蚕种张数(张);

j——张蚕种产茧量(kg);

D1——1t生丝所需的蚕头数;

D——1张蚕种头数;

G1——1t生丝所需用的叶量(kg);

G——1张蚕种用叶量(kg)。

例 设

P=2800kg O=280kg

M=6860kg L1=245kg

K1=6484.48亩 K=105.84kg

A1=9075株 A=1400株

j1=194.4张 j=35.25kg

D1=635040头 D=1800头

G1=136080kg G=700kg

A1=64.82×1400

=9075株

D1=194.4×18000

=635040头

G=194.4×700

=136080kg

这说明生产1t生丝需用干茧2800kg;需用鲜茧6860kg;需用桑田64.82亩;需要桑树9075株;需用蚕种194.4张;需要熟蚕635040头;需用桑叶136080kg,等。也即每kg干茧生产生丝(1000/2800)=0.357kg;每kg鲜茧生产生丝(1000/6860)=0.146kg;每亩桑田生产生丝(1000/64.82)=15.43kg;每棵桑树生产生丝(1000/9075=0.11kg;每张蚕种生产生丝(1000/194.4)=5.14kg;每头蚕生产生丝(1000×1000/635040)=1.57g;每kg桑叶生产生丝(1000×1000/136080)=7.35g。

随便看

 

离鸟网收录3541549条中英文词条,其功能与新华字典、现代汉语词典、牛津高阶英汉词典等各类中英文词典类似,基本涵盖了全部常用中英文字词句的读音、释义及用法,是语言学习和写作的有利工具。

 

Copyright © 2004-2024 vtrois.com All Rights Reserved
更新时间:2026/4/21 6:31:20