多项式的辗转相除法duoxiangshi de zhanzhuan xiangchufa
一种求最高公因式的方法.对于数域P上任意两个多项式f(x),g(x),g(x)≠0,在P上存在一个最高公因式d(x),且d(x)可以表示成f(x),g(x)的一个组合,既有P上的多项式u(x),v(x)使
d(x)=u(x)f(x)+v(x)g(x).
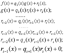
由带余式除法,若g(x)≠0可以得到下面一系列等式

其中,g(x),r
1(x),r
2(x),…的次数不断降低,有限步终止.r
s(x)就是f(x)与g(x)的一个最高公因式.存在c,(f(x),g(x))=cr
s(x).把这种求最高公因式的方法称为辗转相除法.
由以上等式的倒数第二个,有

用它上面的等式逐个消去r
s-1(x),r
s-2(x),…,r
1(x),并加以整理就得到
rs(x)=u1(x)f(x)+v1(x)g(x).
若d(x)=(f(x),g(x)),则d(x)=cr
s(x).