网站首页  词典首页


请输入您要查询的字词:

 

字词 多项式滞后
类别 中英文字词句释义及详细解析
释义
多项式滞后

多项式滞后polynominal lags

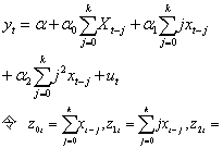
多项式滞后为回归模型中解释变量滞后,且模型滞后项的参数为滞后期的多项式。即:

其中βj=α01j+α2j2+…+αmjm
该模型提出的背景是当xt和其滞后值高度相关时,由于多重共线性,因而不可能得到βj的可靠估计量。因而Almon(1965)假定βj为次数为m的j的多项式。
取m=2,βj=α01j+α2j2,代入原模型于是:


yt=α+α0z0t1z1t2z2t+ut


应用OLS可估计该模型。多项式滞后模型有确定多项式的次数和滞后长度的问题,请参见 W.H.Greene “Econometric Analysis”(Third Edition)。
☚ 工具变量法   平稳性 ☛
00000769
随便看

 

离鸟网收录3541549条中英文词条,其功能与新华字典、现代汉语词典、牛津高阶英汉词典等各类中英文词典类似,基本涵盖了全部常用中英文字词句的读音、释义及用法,是语言学习和写作的有利工具。

 

Copyright © 2004-2024 vtrois.com All Rights Reserved
更新时间:2026/4/17 18:15:29