多项对数单位模型multinominal logit model
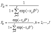
对数单位模型的每个个体只有两项选择,若每个个体都面临多项选择,则模型为多项对数单位模型。假设有J项选择,第i个个体选择了第k项选择的概率为:

定义变量d
ik,若第i个个体选择了第k项选择,则d
ik=1,否则,d
ik=0。于是对数似然函数为:

显然,若β=(β
1,β
2,…,β
J)使得对数似然函数最大化,则β+c =(β
1+c,β
2+c,…,β
J+c)也然(c为任意常数)。所以,必须对参数施加约束,不妨设β
1=0。于是

这样,就可得到惟一的参数最大似然估计。
使用过这种模型的情形包括:个体选择就业,高考生选择学校以及消费者在几个商业区中选择到哪个区去购物等。在上述各种情况下,决策者都必须从一组有限的离散备选方案中选择一个行动。