网站首页  词典首页


请输入您要查询的字词:

 

字词 多约束条件下的消费者选择
类别 中英文字词句释义及详细解析
释义
多约束条件下的消费者选择

多约束条件下的消费者选择Consumer Choice under MultiConstraint

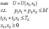
指消费者在一种以上约束条件下的对物品或劳务的最佳选择。影响和限制消费者选择的因素有经济的和非经济的两类。非经济因素很难量化,在一般的经济分析中都假定它们保持不变,因此不予考虑。经济因素主要有消费者收入、物品或劳务的价格、利息率、消费者用于消费的闲暇时间等。多约束条件下的消费者选择模型同样有一期和跨期、静态和动态之分。现以消费者受到收入约束和时间约束的一期静态模型为例说明这种选择过程。假定消费者消费x1和x2两种商品,两种商品的价格为p1、p2,消费者消费单位x1商品需要花费t1时间,消费单位x2商品需要花费t2时间。消费者可以利用的收入总量为M,可以利用的闲暇时间总量为TL。消费者的最优选择可表述为:

图1表明,ODBE部分是消费者的约束集,它同时满足收入约束和时间约束。一般来说,消费者可以调整闲暇时间(TL)和工作时间(TW)的分配比例来改变收入总量(M),这样,消费者的最佳选择将总会处在收入约束线和时间约束线的交点B处(图2),因为多余的闲暇时间和收入对消费者来说是没有意义的(由效用函数来看,这其实是该模型隐含的前提条件)。


图1


图2

☚ 数量约束条件下的消费者选择   跨时预算约束下的消费者选择 ☛
00000128
随便看

 

离鸟网收录3541549条中英文词条,其功能与新华字典、现代汉语词典、牛津高阶英汉词典等各类中英文词典类似,基本涵盖了全部常用中英文字词句的读音、释义及用法,是语言学习和写作的有利工具。

 

Copyright © 2004-2024 vtrois.com All Rights Reserved
更新时间:2026/4/18 10:09:17