网站首页  词典首页


请输入您要查询的字词:

 

字词 一元直线回归
类别 中英文字词句释义及详细解析
释义 一元直线回归

【释文】:

回归分析中最简单且运用最多的一种回归方式,因它只分析两个变量之间的相互关系,只有一个自变量,所以称为“一元直线回归”,也称“简单直线回归”。

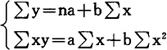
在社会学研究中,一元直线回归的一般表达式为:

y=a+bx

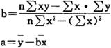
式中,x为自变量,y为因变量,a和b都是方程式的待定参数,其中a称作回归常数,b称作回归系数。a、b的数值可根据最小平方法计算,其标准方程式是:

由方程组可以解出

当参数a、b求出以后,一元直线回归方程式y=a+bx就完全确定了。根据这一方程式,可以由自变量x的任何一个可能值预测出因变量y的数值。

随便看

 

离鸟网收录3541549条中英文词条,其功能与新华字典、现代汉语词典、牛津高阶英汉词典等各类中英文词典类似,基本涵盖了全部常用中英文字词句的读音、释义及用法,是语言学习和写作的有利工具。

 

Copyright © 2004-2024 vtrois.com All Rights Reserved
更新时间:2026/4/18 13:38:26