网站首页  词典首页


请输入您要查询的字词:

 

字词 一元二次方程根与系数的关系
类别 中英文字词句释义及详细解析
释义 一元二次方程根与系数的关系

一元二次方程ax2+bx+c=0的两个根x1,x2与系数a,b,c存在如下关系:x1+x2=-b/a,x1·x2=c/a.

注意1.一元二次方程根与系数的关系也称为韦达定理.

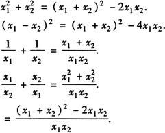
2.一元二次方程根与系数关系,有以下几种常见的变形形式.

例1 已知一元二次方程x2-2x-1=0的两个根是x1,x2,则__,x1-x2=__.

答 6,±2

[解析] 由根与系数的关系,有x1+x2=2,x1·x2=-1,只要能用x1+x2,x1·x2来表示,x1-x2,就可以实现由已知向未知的转化,所以得

(x1-x2)2=(x1+x2)2-4x1x2=8,即

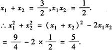
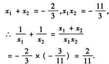
例2 已知方程3x2+2x-11=0的两根分别为x1,x2,则的值是( ).

答 A.

[解析] 由根与系数关系,有

故选A.

例3 若x1,x2是一元二次方程2x2-3x+ 1=0的两个根,则的值是__.

[解析] 由根与系数关系,有

例4 已知一元二次方程x2+3x+1=0的两个根x1,x2,那么(1+x1)(1+x2)的值等于__.

答 -1.

[解析] 由根与系数的关系:

x1+x2=-3,x1x2=1.

∴(1+x1)(1+x2)

=1+x1+x2+x1x2

=1-3+1=-1.

随便看

 

离鸟网收录3541549条中英文词条,其功能与新华字典、现代汉语词典、牛津高阶英汉词典等各类中英文词典类似,基本涵盖了全部常用中英文字词句的读音、释义及用法,是语言学习和写作的有利工具。

 

Copyright © 2004-2024 vtrois.com All Rights Reserved
更新时间:2026/4/20 9:24:31