网站首页  词典首页


请输入您要查询的字词:

 

字词 多元线性相关
类别 中英文字词句释义及详细解析
释义
多元线性相关

多元线性相关

多元线性相关 是研究多个变量间的线性关系的一种统计分析方法。在简单的相关分析中,变量只有两个(X,Y),相关系数只有一个。但在多元相关分析中变量有三个或更多,变量间的相关系数有以下三类:简单相关系数、偏相关系数及复相关系数。
简单相关系数 符号为rij,简记作r。它是说明两个变量(Xi,Xj)间相关程度和方向(不考虑其他变量的影响)的统计指标。其计算公式为

其值-1≤rij≤1。
偏相关系数 亦称部分相关系数。它是当其他变量固定时,说明某两个变量间相关程度和方向的统计指标。例如分析三个变量(X1,X2,X3)间的关系时有三个偏相关系数r12.3,r13.2,r23.1。r12.3表示当X3固定时X1与X2间的偏相关系数,r13.2表示当X2固定时X1与X3间的偏相关系数,余类推。分析四个变量(X1,X2,X3,X4)间的关系时有六个二级偏相关系数r12.34,r13.24,r14.23,r23.14,r24.13及r34.12。r12.34表示当X3、X4固定时X1与X2间的偏相关系数,r13.24表示当X2、X4固定时X1与X3间的偏相关系数,余类推。如果在四个变量中有一个应变量(Y),三个自变量(X1,X2,X3),则应变量与自变量间有三个二级偏相关系数rY1.23,rY2.13,rY3.12
简单相关系数亦称零级相关系数,固定一个变量时其他两个变量间的偏相关系数称一级偏相关系数; 固定二个变量时其他两个变量间的偏相关系数称二级偏相关系数,余类推。和简单相关系数一样,偏相关系数可以是正值,也可以是负值,其绝对值在0与1之间。
一级偏相关系数的计算公式为


二级偏相关系数的计算公式为


偏相关系数的假设检验可按式(4)作t检验

式中r为偏相关系数,n为样本含量,m为自变量的个数。注意:对同一资料,检验偏相关系数时求得的t值与检验偏回归系数时求得的t值是相同的。
复相关系数 亦称多元相关系数或全相关系数。在多元线性相关分析中,应变量Y与各个自变量(X1,X2,…Xm)间的线性回归关系是否密切可以用复相关系数来说明。它记作RY·12…m,简记为R,计算公式为


应变量的离均差平方和lYY可分解为回归平方和SS及剩余平方和SS两部分,即lYY=SS+SS,故上式也可改写为

式中SS=∑(Y-Ŷ)2,说明各实测值Y与回归估计值Ŷ间的离差。SS剩越小,则R越大,说明各实测值与回归平面越近,应变量与自变量间的线性关系越密切。复相关系数取正值,0≤R≤1。复相关系数的平方R2称决定系数。它说明应变量的变异中由各自变量的改变而引起的占多少,如R2=0.8,则说明应变量的变异中有80%由自变量的改变而引起。
复相关系数的假设检验可用方差分析。式中m为自变量的个数,n为样本含量。如果F≥Fα(v1,v2),则按所取α水准,可认为此多元线性关系成立。注意:由式(7)求得的F值与多元回归方程的线性假设检验所求得的F值相同。
例: 分析某市9岁男孩肺活量(ml)Y,与身高(cm)X1,体重(kg)X2间的关系时,得各个变量的离均差平方和、离均差积和及回归平方和如下。试作多元相关分析。


(1)偏相关系数的计算及假设检验。令ρ为总体偏相关系数。


按式(1)求三个变量间的简单相关系数:


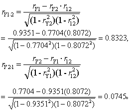
按式(2)求一级偏相关系数:


按式(4)作偏相关系数的t检验:


查t界值表,就t1而言,P<0.01,按α=0.05水准,拒绝H0,接受H1,可以认为当体重固定时,身高与肺活量间有正相关;就t2而言,P>0.5,按α=0.05水准,不拒绝H0,即当身高固定时,不能认为体重与肺活量有相关关系。肺活量与体重的偏相关系数rY2·1远小于简单相关系数rY2,这是因为身高与体重呈正相关(r12=0.8072),在rY2中夹杂有X1对Y的影响,以致使rY2不能真实地反映两者间的关系。因此偏相关系数比简单相关系数更能确切地说明变量间的相互关系。
(2)复相关系数的计算及假设检验。
H0: 总体复相关系数为ρ=0。
H1: ρ≠0。α=0.05。
按式(5)

意即儿童肺活量的变异有87.51%取决于其身高X1及体重X2的改变。按式(7)


查F界值表得P<0.01,按α=0.05水准拒绝H0,接受H1,可认为9岁儿童的肺活量与身高、体重间呈线性关系。
☚ 多元线性回归   正交多项式 ☛
00013274
随便看

 

离鸟网收录3541549条中英文词条,其功能与新华字典、现代汉语词典、牛津高阶英汉词典等各类中英文词典类似,基本涵盖了全部常用中英文字词句的读音、释义及用法,是语言学习和写作的有利工具。

 

Copyright © 2004-2024 vtrois.com All Rights Reserved
更新时间:2026/4/21 3:40:27