网站首页  词典首页


请输入您要查询的字词:

 

字词 多个样本率比较
类别 中英文字词句释义及详细解析
释义
多个样本率比较

多个样本率比较

多个样本率作比较的目的在于推断它们各自代表的总体率是否相等。这类资料的基本数据有R行(样本数)2列(阳性数与阴性数),可称R×2列联表。常用的分析方法为x2检验及对数似然比检验。
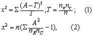
x2检验 按式(1)或式(2)计算统计量x2值。


自由度ν=组数-1。(3)式中A为每格的实际频数;T为按检验假设:各总体率相等,均等于合计率时,算出的理论频数;nR、nC分别为某实际频数所在行R、列C的合计;n为各个样本合计的总例数。式(2)直接用实际频数计算,较为简便。
x2检验要求理论频数不宜过小(参见“样本构成比的比较”),对R×2列联表,R. C. Lewontin和J. Felsen-tein等提出,只要求所有理论频数不小于1,甚至认为多数情况下最小理论频数不小于0.5亦可。
对数似然比检验 用式(4)或式(5)计算统计量G值,G近似于x2分布。如用函数型电子计算器,计算G较x2简捷。
G=2(∑A ln A-∑nR ln nR-∑nC ln nC+nlnn),(4)
G=4.60517(∑A lg A-∑nR lg nR-∑nC lg nC+nlgn),(5)式中A、nR、nc及n的意义同x2检验,v按式(3)计算。
算得统计量x2值(或G值)和ν后,查x2界值表得P值,按所取检验水准作出推断结论。当拒绝检验假设,结论是各总体率不等,只能认为各总体率之间总的来说有差别,但不能说明它们彼此间都有差别,或某两个总体率之间有差别。
例 用免疫酶法观察鼻咽癌患者、头颈部其他恶性肿瘤患者及正常成年人血清中的EB病毒壳抗原的免疫球蛋白A(VCA-IgA)抗体的反应情况,资料见表。三组阳性率有无差别?
H0:三组阳性率相等,
H1:三组阳性率不等或不全相等。
α=0.05。
(1) x2检验。按式(2)及式(3),


三组人群中EB病毒VCA-IgA抗体阳性率

分 组阳性例数阴性例数合计阳性率(%)
鼻咽癌患者
头颈部其他恶
性肿瘤患者
188
10
16
23
204
33
92.2
30.3
正常成人4933338212.8
合 计24737261939.9


查x2界值表得P<0.005,按α=0.05水准拒绝H0,接受H1,说明三组对象的VCA-IgA抗体阳性率有差别。
(2)对数似然比检验。按式(4)及式(3),
G=2(188 ln 188+10ln 10+…+ 333ln 333-204ln 204
-33ln 33-382ln 382-247ln 247-372ln 372+619ln 619)=387.37,v=3-1=2。
查x2界值表得P<0.005,结论同x2检验。
☚ 两个四格表的交互作用   样本构成比的比较 ☛
00013219
随便看

 

离鸟网收录3541549条中英文词条,其功能与新华字典、现代汉语词典、牛津高阶英汉词典等各类中英文词典类似,基本涵盖了全部常用中英文字词句的读音、释义及用法,是语言学习和写作的有利工具。

 

Copyright © 2004-2024 vtrois.com All Rights Reserved
更新时间:2026/4/21 11:33:08