多个样本均数间两两比较
多个样本均数作比较时,经方差分析,若认为各总体均数间有差别,常需进一步确定哪两个总体均数间有差别,哪两个间没有差别。为此,可利用方差分析提供的信息作样本均数间的两两比较,又称多重比较。如A、B、C三个样本均数的两两比较有A与B、B与C、A与C三种情况;A、B、C、D四个样本均数的两两比较有六种情况;k个样本均数比较有(k2)=k(k-1)/2种情况。进行两两比较有多种方法,本条目介绍Newman-Keuls检验、Duncan检验、Tukey检验、最小显著差检验及Scheffe检验。它们的理论依据、应用条件有所不同,其中前二种较为多用。
Newman-Keuls检验 (D.Newman,1939; M.Ke-uls,1952) 亦称Student-Newman-Kenls (SNK)检验。计算统计量q值的公式为

式中A-B为两两比较中的任何两个对比组均数之差值;

为差值的标准误;MS组内为方差分析的组内均方; n为各样本的例数或平均例数。本法步骤如下:
(1)将k组的均数从大到小排列:

,然后按其顺序列出对比组,如表6第(1)栏为对比组的代号,即从最大均数开始,顺次与其他各组对比;然后以次大均数与各组对比,依此类推。
(2) 计算对比组的两均数之差,如表6第(2)栏。
(3) 写出均数按大小排列时,两对比组范围内包含的组数α。 如

与

对比,α=2;

与

对比,α=3;

与

对比,α=k,如表6第(3)栏。
(4)将方差分析表中MS组内代入式(2)得sA-B,将其与两均数之差代入式(1)得q值。如表6第(4)栏。
(5) 按MS组内的自由度v和组数α查表1q界值表得P值,按所取检验水准作出推断结论。
若各组例数不等,只须将式(2)改为式(3)即可,其余步骤不变。

式中nA与nB分别为第A组与第B组的例数。
Duncan检验(D.B.Duncan,1955) 亦称Duncan新法,以区别于Duncan于1951年提出的方法。本法除用表2q界值表代替表1外,其余同Newman-Keuls检验,包括各组例数不同的处理。表2与表1不同的是当α≥3时表2的q界值皆小于表1的相应界值。
Tukey检验(J.W.Tukey,1953) 本法要求各组例数相等。它与Newman-Keuls检验不同的只是不论α值大小,一律用组数α=k(即比较的全部组数)查表1q界值表。因此对同一资料,Tukey检验的界值即New-man-Keuls检验的最大界值。
最小显著差(LSD)检验 本法要求各组例数相等。它与Newman-Keuls检验不同的只是不论α值大小,一律用组数α=2查表1q界值表。因此对同一资料本法界值即Newman-Keuls检验的最小界值。
表1 Newman-Keuls检验用q界值表
上行:P=0.05,下行:P=0.01
| v | 组 数,a |
| 2 | 3 | 4 | 5 | 6 | 7 | 8 | 9 | 10 |
| 5 | 3.64 5.70 | 4.60 6.98 | 5.22 7.80 | 5.67 8.42 | 6.03 8.91 | 6.33 9.32 | 6.58 9.67 | 6.80 9.97 | 6.99 10.24 |
| 6 | 3.46 5.24 | 4.34 6.33 | 4.90 7.03 | 5.30 7.56 | 5.63 7.97 | 5.90 8.32 | 6.12 8.61 | 6.32 8.87 | 6.49 9.10 |
| 7 | 3.34 4.95 | 4.16 5.92 | 4.68 6.54 | 5.06 7.01 | 5.36 7.37 | 5.61 7.68 | 5.82 7.94 | 6.00 8.17 | 6.16 8.37 |
| 8 | 3.26 4.75 | 4.04 5.64 | 4.53 6.20 | 4.89 6.62 | 5.17 6.96 | 5.40 7.24 | 5.60 7.47 | 5.77 7.68 | 5.92 7.86 |
| 9 | 3.20 4.60 | 3.95 5.43 | 4.41 5.96 | 4.76 6.35 | 5.02 6.66 | 5.24 6.91 | 5.43 7.13 | 5.59 7.33 | 5.74 7.49 |
| 10 | 3.15 4.48 | 3.88 5.27 | 4.33 5.77 | 4.65 6.14 | 4.91 6.43 | 5.12 6.67 | 5.30 6.87 | 5.46 7.05 | 5.60 7.21 |
| 12 | 3.08 4.32 | 3.77 5.05 | 4.20 5.50 | 4.51 5.84 | 4.75 6.10 | 4.95 6.32 | 5.12 6.51 | 5.27 6.67 | 5.39 6.81 |
| 14 | 3.03 4.21 | 3.70 4.89 | 4.11 5.32 | 4.41 5.63 | 4.64 5.88 | 4.83 6.08 | 4.99 6.26 | 5.13 6.41 | 5.25 6.54 |
| 16 | 3.00 4.13 | 3.65 4.79 | 4.05 5.19 | 4.33 5.49 | 4.56 5.72 | 4.74 5.92 | 4.90 6.08 | 5.03 6.22 | 5.15 6.35 |
| 18 | 2.97 4.07 | 3.61 4.70 | 4.00 5.09 | 4.28 5.38 | 4.49 5.60 | 4.67 5.79 | 4.82 5.94 | 4.96 6.08 | 5.07 6.20 |
| 20 | 2.95 4.02 | 3.58 4.64 | 3.96 5.02 | 4.23 5.29 | 4.45 5.51 | 4.62 5.69 | 4.77 5.84 | 4.90 5.97 | 5.01 6.09 |
| 30 | 2.89 3.89 | 3.49 4.45 | 3.85 4.80 | 4.10 5.05 | 4.30 5.24 | 4.46 5.40 | 4.60 5.54 | 4.72 5.65 | 4.82 5.76 |
| 40 | 2.86 3.82 | 3.44 4.37 | 3.79 4.70 | 4.04 4.93 | 4.23 5.11 | 4.39 5.26 | 4.52 5.39 | 4.63 5.50 | 4.73 5.60 |
| 60 | 2.83 3.76 | 3.40 4.28 | 3.74 4.59 | 3.98 4.82 | 4.16 4.99 | 4.31 5.13 | 4.44 5.25 | 4.55 5.36 | 4.65 5.45 |
| 120 | 2.80 3.70 | 3.36 4.20 | 3.68 4.50 | 3.92 4.71 | 4.10 4.87 | 4.24 5.01 | 4.36 5.12 | 4.47 5.21 | 4.56 5.30 |
| ∞ | 2.77 3.64 | 3.31 4.12 | 3.63 4.40 | 3.86 4.60 | 4.03 4.76 | 4.17 4.88 | 4.29 4.99 | 4.39 5.08 | 4.47 5.16 |
摘自 Beyer WH:Handbook of Tables for Probabi lity and Statistics,second edition,p362,p364,CRC Press,Inc.,1979
表2 Duncan检验用q界值表
上行: P=0.05,下行: P=0.01
| v | 组 数,a |
| 2 | 3 | 4 | 5 | 6 | 7 | 8 | 9 | 10 |
| 5 | 3.64 5.70 | 3.74 5.96 | 3.79 6.11 | 3.83 6.18 | 3.83 6.26 | 3.83 6.33 | 3.83 6.40 | 3.83 6.44 | 3.83 6.5 |
| 6 | 3.46 5.24 | 3.58 5.51 | 3.64 5.65 | 3.68 5.73 | 3.68 5.81 | 3.68 5.88 | 3.68 5.95 | 3.68 6.00 | 3.68 6.0 |
| 7 | 3.35 4.95 | 3.47 5.22 | 3.54 5.37 | 3.58 5.45 | 3.60 5.53 | 3.61 5.61 | 3.61 5.69 | 3.61 5.73 | 3.61 5.8 |
| 8 | 3.26 4.74 | 3.39 5.00 | 3.47 5.14 | 3.52 5.23 | 3.55 5.32 | 3.56 5.40 | 3.56 5.47 | 3.56 5.51 | 3.56 5.5 |
| 9 | 3.20 4.60 | 3.34 4.86 | 3.41 4.99 | 3.47 5.08 | 3.50 5.17 | 3.52 5.25 | 3.52 5.32 | 3.52 5.36 | 3.52 5.4 |
| 10 | 3.15 4.48 | 3.30 4.73 | 3.37 4.88 | 3.43 4.96 | 3.46 5.06 | 3.47 5.13 | 3.47 5.20 | 3.47 5.24 | 3.47 5.28 |
| 12 | 3.08 4.32 | 3.23 4.55 | 3.33 4.68 | 3.36 4.76 | 3.40 4.84 | 3.42 4.92 | 3.44 4.96 | 3.44 5.02 | 3.46 5.07 |
| 14 | 3.03 4.21 | 3.18 4.42 | 3.27 4.55 | 3.33 4.63 | 3.37 4.70 | 3.39 4.78 | 3.41 4.83 | 3.42 4.87 | 3.44 4.91 |
| 16 | 3.00 4.13 | 3.15 4.34 | 3.23 4.45 | 3.30 4.54 | 3.34 4.60 | 3.37 4.67 | 3.39 4.72 | 3.41 4.76 | 3.43 4.79 |
| 18 | 2.97 4.07 | 3.12 4.27 | 3.21 4.38 | 3.27 4.46 | 3.32 4.53 | 3.35 4.59 | 3.37 4.64 | 3.39 4.68 | 3.41 4.71 |
| 20 | 2.95 4.02 | 3.10 4.22 | 3.18 4.33 | 3.25 4.40 | 3.30 4.47 | 3.34 4.53 | 3.36 4.58 | 3.38 4.61 | 3.40 4.65 |
| 30 | 2.89 3.89 | 3.04 4.06 | 3.12 4.16 | 3.20 4.22 | 3.25 4.32 | 3.29 4.36 | 3.32 4.41 | 3.35 4.45 | 3.37 4.48 |
| 40 | 2.86 3.82 | 3.01 3.99 | 3.10 4.10 | 3.17 4.17 | 3.22 4.24 | 3.27 4.30 | 3.30 4.34 | 3.33 4.37 | 3.35 4.41 |
| 60 | 2.83 3.76 | 2.98 3.92 | 3.08 4.03 | 3.14 4.12 | 3.20 4.17 | 3.24 4.23 | 3.28 4.27 | 3.31 4.31 | 3.33 4.34 |
| 100 | 2.80 3.71 | 2.95 3.86 | 3.05 3.98 | 3.12 4.06 | 3.18 4.11 | 3.22 4.17 | 3.26 4.21 | 3.29 4.25 | 3.32 4.29 |
| ∞ | 2.77 3.64 | 2.92 3.80 | 3.02 3.90 | 3.09 3.98 | 3.15 4.04 | 3.19 4.09 | 3.23 4.14 | 3.26 4.17 | 3.29 4.20 |
摘自 Duncan DB: Multiple range and multiple F tests,Biometrics,11: 1,1955
Scheffe检验(H. Schffe,1959) 用式(4)、式(5)计算统计量S值。

注意:式(4)与式(1)相似,但式(5)与式(3)不同。经F检验多个样本均数间有差别,则用Scheffe检验一定可找到有差别的对比组。求得S值后,查表3 S界值表得P值,按所取检验水准作出推断结论。表3中的v亦为MS组内的自由度,k为处理组的个数。由此可见,此表与a无关。
表3 Scheffé检验用S界值表
上行: P=0.05,下行 P=0.01
| v | k-1 |
| 2 | 3 | 4 | 5 | 6 | 7 | 8 | 9 | 10 |
| 5 | 3.40 5.15 | 4.03 6.01 | 4.56 6.75 | 5.03 7.41 | 5.45 8.00 | 5.84 8.56 | 6.21 9.07 | 6.55 9.56 | 6.88 10.03 |
| 6 | 3.21 4.67 | 3.78 5.42 | 4.26 6.05 | 4.68 6.61 | 5.07 7.13 | 5.43 7.60 | 5.76 8.05 | 6.07 8.47 | 6.37 8.87 |
| 7 | 3.08 4.37 | 3.61 5.04 | 4.06 5.60 | 4.46 6.11 | 4.82 6.57 | 5.15 7.00 | 5.46 7.40 | 5.75 7.78 | 6.03 8.14 |
| 8 | 2.99 4.16 | 3.49 4.77 | 3.92 5.29 | 4.29 5.76 | 4.64 6.18 | 4.95 6.58 | 5.24 6.94 | 5.52 7.29 | 5.79 7.63 |
| 9 | 2.92 4.01 | 3.40 4.58 | 3.81 5.07 | 4.17 5.50 | 4.50 5.90 | 4.80 6.27 | 5.08 6.61 | 5.35 6.94 | 5.60 7.25 |
| 10 | 2.86 3.89 | 3.34 4.43 | 3.73 4.90 | 4.08 5.31 | 4.39 5.68 | 4.68 6.03 | 4.96 6.36 | 5.21 6.67 | 5.46 6.96 |
| 12 | 2.79 3.72 | 3.24 4.23 | 3.61 4.65 | 3.94 5.03 | 4.24 5.38 | 4.52 5.70 | 4.77 6.00 | 5.02 6.28 | 5.25 6.55 |
| 14 | 2.73 3.61 | 3.17 4.09 | 3.53 4.49 | 3.85 4.85 | 4.13 5.17 | 4.40 5.47 | 4.65 5.75 | 4.88 6.02 | 5.10 6.28 |
| 16 | 2.70 3.53 | 3.12 3.98 | 3.47 4.37 | 3.78 4.71 | 4.06 5.02 | 4.31 5.31 | 4.55 5.58 | 4.78 5.83 | 4.99 6.08 |
| 18 | 2.67 3.47 | 3.08 3.91 | 3.42 4.28 | 3.72 4.61 | 4.00 4.91 | 4.25 5.19 | 4.48 5.44 | 4.70 5.69 | 4.91 5.92 |
| 20 | 2.64 3.42 | 3.05 3.85 | 3.39 4.21 | 3.68 4.53 | 3.95 4.82 | 4.20 5.09 | 4.42 5.34 | 4.64 5.58 | 4.85 5.80 |
| 30 | 2.58 3.28 | 2.96 3.68 | 3.28 4.01 | 3.56 4.30 | 3.81 4.57 | 4.04 4.81 | 4.26 5.04 | 4.46 5.25 | 4.65 5.46 |
| 40 | 2.54 3.22 | 2.92 3.60 | 3.23 3.91 | 3.50 4.19 | 3.74 4.44 | 3.97 4.68 | 4.18 4.89 | 4.37 5.10 | 4.56 5.29 |
| 60 | 2.51 3.16 | 2.88 3.52 | 3.18 3.82 | 3.44 4.09 | 3.68 4.33 | 3.89 4.55 | 4.10 4.75 | 4.28 4.95 | 4.46 5.13 |
| 120 | 2.48 3.09 | 2.84 3.44 | 3.13 3.73 | 3.38 3.98 | 3.61 4.21 | 3.82 4.42 | 4.02 4.62 | 4.20 4.80 | 4.37 4.97 |
| ∞ | 2.45 3.03 | 2.80 3.37 | 3.08 3.64 | 3.33 3.88 | 3.55 4.10 | 3.75 4.30 | 3.94 4.48 | 4.11 4.65 | 4.28 4.82 |
摘自 山内二郎:統計数值表,66,JSA-1972。
例1 用四种饲料喂大白鼠,测得其肝重占体重的百分比值见表4,经方差分析见表5,得P<0.01,故认为不同饲料组的肝重比值有差别。为获得进一步的结论,试进行两两比较。
表4 四种饲料喂大白鼠后的肝重比值(%)
| | I号 | II号 | III号 | IV号 |
| X | 2.62 2.23 2.36 2.40 | 2.82 2.76 2.43 2.73 | 2.91 3.02 3.28 3.18 | 3.92 3.02 3.30 3.04 |
| | 2.40 | 2.69 | 3.10 | 3.32 |
表5 表3资料的方差分析
| 变异来源 | SS | v | MS | F |
| 总 | 2.807375 | 15 | | |
组 间 组 内 | 2.027525 0.779850 | 3 12 | 0.6758 0.0650 | 10.40 |
H
0: μA=μB,即各总体均数两两相等;
H
1: μA≠μB,即各总体均数不等或不全相等。
α=0.05。
(1) Newman-Keuls检验。
四组均数按大小顺序排列
| IV号 | III号 | II号 | I号 |
| 3.32 | 3.10 | 2.69 | 2.40 |
各对比组、两均数之差、组数α见表6第(1)~(3)栏。按式(2)得

按式(1)得各对比组q值,见表6第(4)栏。
以v=12及α查表1得各P值,见表6第(5)栏。
表6 四种饲料组肝重比值均数间的两两比较

*表示P<0.05,**表示P<0.01,无*表示P>0.05。
(2) Duncan检验。得表6第(1)~(4)栏后,以v=12及α查表2得各P值,见表6第(6)栏。
(3) Tukey检验。得表6第(1)、(2)、(4)栏后,以v=12,α=4查表1得各P值,见表6第(7)栏。
(4)最小显著差检验。得表6第(1)、(2)、(4)栏后,以v=12,α=2查表1得各P值,见表6第(8)栏。
由表6第(5)~(8)栏可见:按α=0.05水准,四种方法检验结论基本一致:除Ⅰ、Ⅱ号饲料间及Ⅲ、Ⅳ号饲料间肝重比值无差别(均不拒绝H0)外,其余的任何两种饲料间肝重比值均有差别(Ⅲ与Ⅱ比较除Tukey检验为P>0.05外,其他三法都是P<0.05,均拒绝H
0,接受H
1),可以认为喂Ⅲ、Ⅳ号饲料大白鼠的肝重比值较喂Ⅰ、Ⅱ号的为高。
例2 三种药分别用于小白鼠后,平均延迟咳嗽时间见表7,经方差分析(表8),得P<0.05,可认为三种药的延迟咳嗽时间不同。为获得进一步的结论,试进行两两比较。
表7 三种药使小白鼠平均延迟咳嗽时间
| 药 物 | 例 数 n | 平均延迟时间(秒) |
复方一(I) 复方二(II) 可待因(III) | 15 15 10 | 31.67 44.00 60.50 |
表8 方差分析
| 变异来源 | SS | v | MS | F |
| 总 | 31810.00 | 39 | | |
组 间 组 内 | 4994.17 26815.83 | 2 37 | 2497.08 724.75 | 3.45 |
H
0:μ A=μB,
H
1: μA≠μB。
α=0.05。
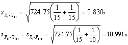
(1) Newman-Keuls检验。按式(3)得

得表9第(1)~(4)栏后,以v=37及α查表1得各P值,P<0.05者在q值右上角记“*”,P>0.05者无“*”。
(2) Duncan检验。得表9第(1)~(4)栏后,以v=37及α查表2得各P值,结果同Newman-Keuls检验。
(3) Scheffe检验。按式(5)

得表9第(1)、(2)栏及第(5)栏[按式(4)]后,以v=37,k=3查表3得各P值,P<0.05者在S值右上角记“*”,P>0.05者无“*”。
表9 三种药平均延迟咳嗽时间的两两比较
上述三种方法检验结果按a = 0.05水准结论相同,即可以认为三种药中可待因延迟小白鼠咳嗽的时间比复方一长,其余没有差别。
多组均数间的两两比较时应注意:
(1) 如果都用t检验来推断,则将明显增大Ⅰ型错误a。例如作t检验时的a=0.05,共需作6个比较,则6次t检验的实际水准变为1-(1-0.05)

=0.265, 比0.05大多了。
(2) Newman-Keuls检验和Duncan检验由于采用多重界值,故检验的准确性较高。四种方法的敏感度不同: 最小显著差检验最大 (由于一律用a=2时的界值,界点最低),Duncan检验次之,Newman-Keuls检验又次之 (此法除a=2外,界值均较Duncan检验为高),Tukey检验最低 (由于一律用a=k时的界值,界点最高)。