网站首页  词典首页


请输入您要查询的字词:

 

字词 复数的除法
类别 中英文字词句释义及详细解析
释义
复数的除法

复数的除法fushu de chufa

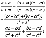
复数乘法的逆运算,即把满足

(c+di)(x+yi)=a+bi(c+di≠0)

的复数x+yi称作复数a+bi除以复数c+di所得的商,记作(a+bi)÷(c+di)或(a+bi)/(c+di).具体地将两个复数相除时,它的法则是应先把它们的商写成分式的形式,然后将分子和分母同时乘以分母的共轭复数,使分母实部化.并把结果化简便得到要求的商.具体过程是

因为c+di≠0,所以c2+d2≠0.因此商是一个唯确定的复数,例如,

两个三角形式的复数相除时,可按下面的除法法则进行:两个复数相除,商的模等于被除数的模除以除数的模所得的商,商的幅角等于被除数的幅角减去除数的幅角所得的差.即

 

 

例如
 
☚ 复数乘法法则   复数除法法则 ☛
00012014
随便看

 

离鸟网收录3541549条中英文词条,其功能与新华字典、现代汉语词典、牛津高阶英汉词典等各类中英文词典类似,基本涵盖了全部常用中英文字词句的读音、释义及用法,是语言学习和写作的有利工具。

 

Copyright © 2004-2024 vtrois.com All Rights Reserved
更新时间:2026/4/19 20:19:04