网站首页  词典首页


请输入您要查询的字词:

 

字词 复合二次根式
类别 中英文字词句释义及详细解析
释义
复合二次根式

复合二次根式fuhe erci genshi

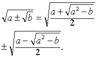
通常把

叫做复合二次根式,其中
b.当a2-b是完全平方数时,有计算公式

☚ 分母有理化   幂 ☛
00012174
随便看

 

离鸟网收录3541549条中英文词条,其功能与新华字典、现代汉语词典、牛津高阶英汉词典等各类中英文词典类似,基本涵盖了全部常用中英文字词句的读音、释义及用法,是语言学习和写作的有利工具。

 

Copyright © 2004-2024 vtrois.com All Rights Reserved
更新时间:2026/4/20 17:38:06