网站首页  词典首页


请输入您要查询的字词:

 

字词 基金存储因素
类别 中英文字词句释义及详细解析
释义

基金存储因素

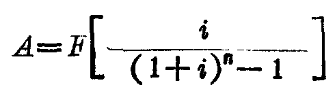
资金动态计算系数之一。为了筹措将来需要的一笔资金,可以用此因数求得每个计息期末须要等额存储的金额。这种支付关系的现金流量图为:


计算公式:

式中:——基金存储因数;
F——期终值;
A——每个计息期末等额存储资金;
n——计息周期数;
i——复利。
随便看

 

离鸟网收录3541549条中英文词条,其功能与新华字典、现代汉语词典、牛津高阶英汉词典等各类中英文词典类似,基本涵盖了全部常用中英文字词句的读音、释义及用法,是语言学习和写作的有利工具。

 

Copyright © 2004-2024 vtrois.com All Rights Reserved
更新时间:2026/4/20 22:16:38