网站首页  词典首页


请输入您要查询的字词:

 

字词 土壤吸附作用
类别 中英文字词句释义及详细解析
释义

土壤吸附作用soil adsorption of pesticides

土壤吸附力使农药聚集在土壤颗粒表面,致使土壤颗粒与土壤溶液界面上的农药浓度大于土壤整体中农药浓度的现象。土壤对农药的吸附作用会降低农药在土壤中的移动性和生物活性,对农药在土壤中的持留性也有一定影响。
吸附形式 因引起吸附原因的不同分物理结合、静电结合、氢键结合、配位键结合等四种主要形式。
物理结合 伦敦—范德华力引起的吸附作用形式。其实质是偶极—偶极间相互作用、离子偶极间相互作用、偶极—诱发偶极间相互作用和诱发偶极—诱发偶极间相互作用的综合体系。伦敦—范德华力随着距离增加而迅速降低。分子愈大或键愈长,物理结合能力愈弱; 几种取代脲类除草剂结合力的大小依次为: 草不隆> 利谷隆>敌草隆>灭草隆>非草隆。
静电结合 静电吸引力引起的吸附作用形式。当农药以阳离子或质子化后变成阳离子形态存在时,与土壤之间就可发生静电结合; 土壤有机物的离解常数和农药质子缔合常数均与pH有关,故农药在土壤中的静电结合与土壤pH值关系密切。图1为富里酸与除草剂敌草快的静电结合形式:


图1 敌草快与富里酸静电结合形式


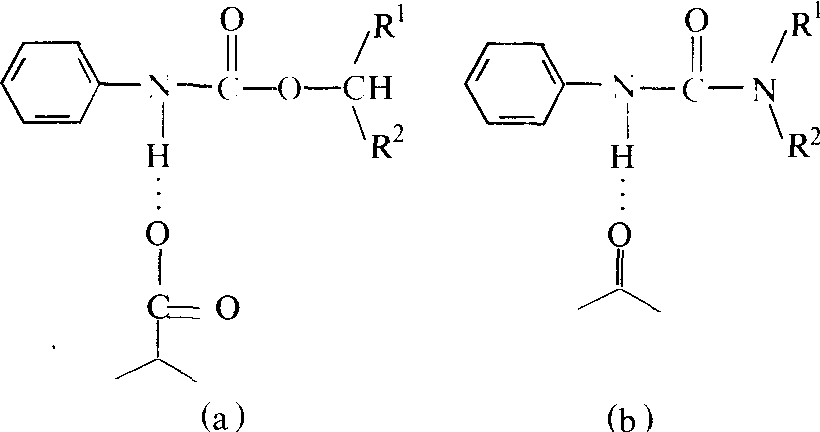
氢键结合 农药分子中N-H基与土壤中氧原子结合,引起的吸附作用形式。氢键结合机理是一种不完全的质子化,即电子给予体和电子接受体之间仅有部分电荷转移。农药中含有N-H基时,容易与粘粒表面的一个氧或有机化合物上的一个氧发生氢键结合,图2是两个例子:


图2 氢键结合形式


(a)苯氨基甲酸酯与有机质羧基结合;(b)取代脲和酚羟基结合
配位键结合 由不同组分络合而成的化合物称之为配位结合。如土壤溶液中的金属离子在农药与土壤成分之间起搭桥作用形成的配位体(图3)。


图3 均三氮苯类农药配位键结合形式


影响条件 土壤吸附农药的能力,与土壤和农药的性质及其相互作用时的条件有关。
土壤由无机矿物和有机物两大部分组成。❶无机矿物吸附农药能力的强弱,主要决定于土壤的质地及其粘土矿物的组成状况,土壤粘粒(≤0.002毫米的微粒)含量愈高,吸附农药能力愈强; 在各种粘土矿物中,其阳离子交换量与表面积的大小均依次为: 蛭石>蒙脱石>伊利石>绿泥石>高岭石,这一特性与各种粘土矿物吸附农药的能力成正相关。
❷土壤中有机质含量虽只有百分之几,但它不仅具有更大的表面积,而且在腐殖物质中还含有羧基、酚羟基、乙醇羟基、羰基和甲基等基团,这些基团与农药分子之间会发生各种各样的化学反应。土壤有机质还可通过共溶效应,对非极性农药具有更大的吸附能力。农药的性质,如水溶性、酸碱度、极性、电荷分布,以及分子大小与形状等都会影响土壤对农药的吸附作用。
测定方法 土壤对农药吸附能力的大小,通常用吸附系数kd (soil adsorption coefficient)和土壤吸附常数Koc(soil adsorption constant)来表示。
吸附系数 在一定水土比的平衡体系中土壤吸附的农药数量与水中农药浓度之比值,其关系一般用弗里特利奇(Freundlich)吸附公式表示:

Kd=c5/ce1/n


或 logcs=logkd+1/n logcs式中 cs为农药吸附在土壤中的数量(毫克/千克);ce为农药在溶液中的浓度(毫克/升);1/n为cs与ce关系曲线的斜率。
吸附常数 吸附系数Kd与土壤有机碳含量的比值。


它表示土壤有机质的多少对农药吸附强度的影响;koc愈大土壤对农药的吸附性愈强(见表)。

农药在土壤中的吸附常数

农 药 名 称吸附常数(Koc)
麦草畏
二氯丙烯
二溴乙烷
涕灭威
灭草隆
二溴氯丙烷
莠去津
茵达灭
林丹
氟乐灵
甲基对硫磷
滴滴涕
0
26
32
36
83
130
170
280
1300
3900
10000
24000
随便看

 

离鸟网收录3541549条中英文词条,其功能与新华字典、现代汉语词典、牛津高阶英汉词典等各类中英文词典类似,基本涵盖了全部常用中英文字词句的读音、释义及用法,是语言学习和写作的有利工具。

 

Copyright © 2004-2024 vtrois.com All Rights Reserved
更新时间:2026/4/20 1:05:57