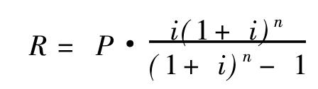
固定利率完全均付抵押贷款Mortgage Loan of Completely Equal Payment With Fixed Interest Rate在贷款期间内利率不变,把本金利息按月平分,每个月偿还一定金额的一种抵押贷款方式。 固定利率完全均付抵押贷款每月还贷额完全均等的固定利率抵押贷款。这也是国内外应用最为广泛的分期还款方式。以R代表每月还贷额,P代表贷款总额,i代表月利率,n代表按月计算的贷款期限,则每月还贷额的计算公式如下: 
固定利率完全均付抵押贷款在贷款期间内,把本金利息按月平分,每个月偿还一定金额的一种抵押贷款方式。 固定利率完全均付抵押贷款 固定利率完全均付抵押贷款mortgage loan of completely equal payment with fixed interest rate在贷款期间内,把本金利息按月平分,每个月偿还一定金额的一种抵押贷款方式。 ☚ 商品房抵押贷款 可变利率抵押贷款 ☛ 00003088 |