回归分析预测法
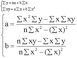
根据预测对象与其影响因素之间的回归分析,对具有回归关系的变量,建立回归方程式,据以进行预测的方法。主要有一元回归分析预测法、二元 (或多元) 回归分析预测法等。其中: 一元回归分析是在确定一个自变量和一个因变量之间具有明显相关关系的基础上,配合回归线,建立回归方程式进行预测,如Y=a+bx,再根据最小平方法,求得a、b待定系数的标准方程组为:

二元 (或多元) 回归分析是在确定两个或两个以上自变量和一个因变量间相关关系的基础上,运用回归方程式进行预测。回归分析的程序,一般是: 首先搜集预测目标相关变量的资料数据,作散点图,建立相应的回归方程式。其次,编制相关系数计算表,计算回归系数,以判断变量间的相关程度。最后,对于适合进行回归分析预测的,利用回归方程式求预测值。