网站首页  词典首页


请输入您要查询的字词:

 

字词 噻菌灵
类别 中英文字词句释义及详细解析
释义

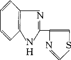
噻菌灵thiabendazole,TBZ

杂环类杀菌剂。化学名称:2-(4-噻唑基)-苯并咪唑。化学结构式如下。原药白色无味固体,室温下不挥发,250℃时升华,固体状态或水中悬液中稳定,在水中溶解度pH 2时为1%,pH 5~12时为<50 mg/kg,微溶于氯仿、苯,稍溶于丙酮、甲苯,易溶于二甲亚砜。1961年曾被作兽用驱虫药,1964年后又发现其有较广的抗菌谱和植物体内的吸收和运转的功能。广谱性内吸杀菌剂,与多菌灵、苯菌灵有相似的抗菌谱和作用机制。可叶面喷洒,土壤处理,种子处理,收获后水果、蔬菜保鲜杀菌处理,亦可制成片剂作熏蒸剂使用,对植物安全,对人畜低毒,小鼠口服LD50为381 mg/kg,每天喂大鼠100 mg/kg,也未见中毒症状。美国规定猪、牛、羊等动物体内允许残留量为0.1 mg/kg、牛奶0.05 mg/kg、柑橘汁20mg/kg、果干中35 mg/kg。

随便看

 

离鸟网收录3541549条中英文词条,其功能与新华字典、现代汉语词典、牛津高阶英汉词典等各类中英文词典类似,基本涵盖了全部常用中英文字词句的读音、释义及用法,是语言学习和写作的有利工具。

 

Copyright © 2004-2024 vtrois.com All Rights Reserved
更新时间:2026/4/19 9:20:53