网站首页  词典首页


请输入您要查询的字词:

 

字词 噻磺隆
类别 中英文字词句释义及详细解析
释义

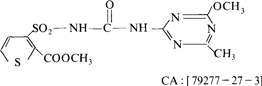
噻磺隆thifensulfuron-methyl

内吸传导型选择性磺酰脲类除草剂。又名阔叶散,商品名Har-monv。化学结构式:

1984年由美国杜邦(Du Pont)公司首先开发成功。
性能 原药有效成分含量>95%。外观为白色晶体;密度1.49。熔点 186 ℃。水中溶解度pH4时为24毫克/升,pH5时为260毫克/升。在丙酮、乙腈、甲醇中溶解度分别为119、7.3、2.6毫克/升。低毒。原药(有效成分大于95%)大鼠急性经口LD50>5000毫克/千克。兔急性经皮LD50>2000毫克/千克。大鼠急性吸入LD50>7.9毫克/升。对皮肤无刺激作用。对眼睛有中度刺激作用,但一天内可恢复正常。在试验剂量内对动物无致畸、致突变、致癌作用。狗两年慢性饲喂试验,无作用剂量为750毫克/千克。对鱼及水生生物低毒,虹鳟鱼和翻车鱼96小时LC50均>100毫克/升。对蜜蜂毒性较低,急性经口LD50>12.5微克/只。对鸟类低毒,鹌鹑LC50>5620毫克/千克。阔叶散能被植物叶和根部吸收,并迅速传导。在敏感植物体内抑制缬氨酸、亮氨酸和异亮氨酸的生物合成,阻止细胞分裂,2~3周内使敏感杂草死亡。推荐剂量下阔叶散在土壤中被好气微生物分解,30天后对下茬作物无害。
应用 禾谷类作物小麦、大麦、玉米、燕麦、以及双子叶作物大豆对阔叶散耐药性较高,因而用于上述作物中防治反枝苋、马齿苋、猪毛菜、猪殃殃、婆婆纳、播娘蒿、鼬瓣花、地肤、春蓼、藜、鸦蒜、牛繁缕、荠菜等。但对田旋花、刺儿菜及禾本科杂草无效。小麦、大麦2叶期到孕穗期,杂草出齐(2~ 4叶期)时,每公顷用75%干悬浮剂阔叶散25.5~40.5克,加水450升,加入喷液量的0.2%非离子表面活性剂,茎叶喷雾处理。阔叶散用于大豆地除草时,剂量要适当降低。由于阔叶散活性高,用药量低,要求称量准确,作常量喷雾。若进行低容量喷雾时可能会发生药害。
随便看

 

离鸟网收录3541549条中英文词条,其功能与新华字典、现代汉语词典、牛津高阶英汉词典等各类中英文词典类似,基本涵盖了全部常用中英文字词句的读音、释义及用法,是语言学习和写作的有利工具。

 

Copyright © 2004-2024 vtrois.com All Rights Reserved
更新时间:2026/4/19 7:33:24