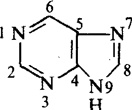
嘌呤piào lìng一种有机化合物。[英] purine。1932年11月《化学命名原则·有机化学命名原则》第五章:“Purine,嘌呤。(嘌读如票,呤读如令。)”1939年Teh-Ching Leo, Cousland's English-Chinese Medical Lexicon:“purin,嘌呤,普林。” 化学物质 化学物质吡 苄 剂(试~;杀虫~) 化合物:羰 卟 哒 羧茎 巯茎 羟茎硭硝 硇砂 有机化合物:脂 肽 膦 胂 腈 胩 肼 脲 胨 甾 腙 肟 胍 氨胺 铵 脎 烷 烯 炔 烃 脒苎 醇 酰 酚 酮 醛 醚 酯醌 酞 酶 醣 酐 嗪 砜 甙羟 莰 苯 茚 萘 菲 蒽 苷蒈 苊 鏻 鉮 凎 啶 糖 蜡噻吩 吡咯 噻唑 咔唑 吡啶 嘧啶 喹啉 吲哚 呋喃 旦白 嘌呤 哌嗪 萜烯 无机化合物:盐 矾 硝 卤 酸 碱 水 酰 铵 锈 砒霜 石膏 阴精石 一种无机化合物:丹(丹干;丹矸;丹砾;丹朱;丹沙;丹砂) 朱砂辰砂 润泽光艳的朱砂:渥赭 渥丹 渥朱 具有强烈腐蚀性的浓硝酸、浓硫酸:镪(镪水;硝镪水) 金属表面的氧化物:锈(~涩;生~) 铁锈:铁腥 铁衣 铜锈:铜华 铜花 铜青 铜毒 铜黛 铜绿 ☚ 元素 自然的 ☛ 嘌呤 嘌呤piaoling无色晶体,熔点为216℃,易 溶于水,有弱碱性。嘌呤的衍生物广泛存在于自然界,如:


腺嘌呤和鸟嘌呤是组成核酸的重要碱基。 ☚ 嘧啶 核酸 ☛ 嘌呤简称“Pur”。核酸分子中的一种碱性的含氮的9元双杂环化合物。常见的是腺嘌呤和鸟嘌呤。 嘌呤purine
嘌呤purine
嘌呤purine |