网站首页  词典首页


请输入您要查询的字词:

 

字词 哒嗪硫磷
类别 中英文字词句释义及详细解析
释义

哒嗪硫磷pyridaphenthion

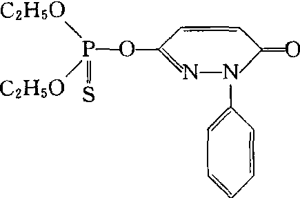
低毒低残留广谱性硫逐式一硫代磷酸酯类杀虫杀螨剂。又称做达净松、苯达磷。化学结构式:

1971年日本三井东压化学品公司(Mitsui ToatsuChemicals Inc.)首先开发。
性能 纯品为白色结晶,熔点54.5~56℃ 。对热、光照、酸性介质稳定,强碱介质中不稳定。难溶于水,20℃时溶解度为200毫克/升,可溶于一般有机溶剂。对高等动物毒性较低,大白鼠急性口服LD50 850毫克/千克(雌)、769.4毫克/千克(雄);急性经皮LD50 2100毫克/千克(雌)、2300毫克/千克(雄)。在试验动物体内能迅速代谢,无累积作用。对鱼类相对无毒。对害虫害螨具有触杀和胃毒作用,且有一定杀卵作用。具有低毒、低残留、不易诱发害虫抗药性等特点。
应用 哒嗪硫磷对多种咀嚼式口器和刺吸式口器害虫均有较好效果。使用方法为乳油对水喷雾或粉剂喷粉。此药剂对水稻害虫药效突出,对水稻害虫的天敌捕食螨较安全,对鱼类低毒,在稻谷中残留量低,特别适合用于水稻,可防治螟虫、纵卷叶螟、稻苞虫、飞虱、叶蝉、蓟马、稻瘿蚊等。对棉叶螨特效,对成螨、若螨、螨卵都有显著抑制作用,还可防治棉蚜、棉铃虫、红铃虫。用于小麦、杂粮、油料、蔬菜、果树等作物及林木,可防治多种咀嚼式口器、刺吸式口器害虫及叶螨。一般使用下无药害,但注意不可与2,4-滴类除草剂同时或近时使用,以免造成药害。

哒嗪硫磷pyridaphenthion

又称达嗪松、Ofunack。低毒有机磷杀虫杀螨剂。化学名称:O,O-二乙基-O-(2,3-2氢-3-氧代-2-苯基-6哒嗪基)硫逐磷酸酯。化学结构式如下。纯品为白色针状结晶,工业品淡黄色固体,熔点54~56℃,48℃时蒸气压25.33 Pa,90℃时110.65 Pa,密度1.325,难溶于水、溶于各种有机溶剂,对酸及热稳定,对强碱不稳定。有触杀胃毒作用,无内吸作用。防治稻飞虱、稻叶蝉、三化螟及二化螟(卵孵盛期前用药),还可以防治棉蚜、棉叶螨。急性口服LD50大鼠(♂)为769.4 mg/kg、(♀)为850 mg/kg,小鼠(♂)为458.7 mg/kg、(♀)为554.6 mg/kg,兔为4 800 mg/kg,狗>12 000 mg/kg。经皮大鼠(♂)LD50为2300 mg/kg、(♀)2100 mg/kg,鱼毒(48h)鲤LC50为10 mg/L。

随便看

 

离鸟网收录3541549条中英文词条,其功能与新华字典、现代汉语词典、牛津高阶英汉词典等各类中英文词典类似,基本涵盖了全部常用中英文字词句的读音、释义及用法,是语言学习和写作的有利工具。

 

Copyright © 2004-2024 vtrois.com All Rights Reserved
更新时间:2026/4/17 17:12:27