网站首页  词典首页


请输入您要查询的字词:

 

字词 ●硫酸阿巴卡韦
类别 中英文字词句释义及详细解析
释义 ●硫酸阿巴卡韦

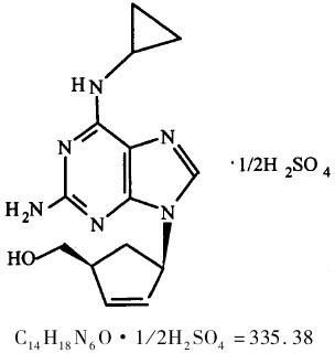
【化学名称】(1R,4S)-cis-2-a mino-6-(cyclopropyla mino)-9-[4-(hydroxymethyl)-2-cyclopentenyl]-9H-purinesulfate(2∶1)

【化学结构】

【性状】盐酸盐为带白色的粉末,mp(崩解)在125~130℃ 。在138℃ 以上分解。

【药理作用】本品是一种新型核苷逆转录酶抑制剂。它的抗人免疫缺陷病毒活性等于或超过齐多夫定(AZT)。然而对周围血淋巴细胞和 MT-4细胞培养中本品的活性强度比 AZT大100倍。况且本品渗透到脑内和脑脊液的能力也象 AZT一样好,因此它治疗中枢神经系统艾滋病具有强效。据早期试验发现它与AZT有轻微的交叉耐药性。在初期的试验中,证明本品单独在培养细胞中有较强的抗艾滋病毒活性。当与其它抗艾滋病毒药物联用时,观察到更强的活性。在联合培养和抗-CD3实验系统中,对潜伏艾滋病毒感染的细胞,本品的活性比AZT或拉米夫定(3TC)都强。然而这3种药物在实验中各有不同的表现,因此最佳的选择是3种药物联合应用。本品的作用,在与AZT、3TC和Stavudine(d4T)联合治疗HIV-1感染的周围血单核细胞试验中,将对AZT敏感的和耐药的分开,以本品治疗,分别得到半数抑制浓度(IC50)为0.54μM 和0.81μM。用d3T治疗敏感的感染细胞,其浓度在0.54μM 或更高。在与 AZT联合治疗时,在所有的浓度都观察到有协同作用。在同3TC联合时,协同作用在IC50以上时才能观察到。观察到本品与AZT或3TC对AZT敏感和耐药组的协同作用。特别是三药联合有强大的临床疗效。

另外的研究证明,本品与蛋白酶抑制剂amprenavir联合对抗艾滋病毒有明显的活性。

本品在体内的抗艾滋病毒的活性比体外研究更强。这可能是由于本品体内给药后,被细胞的酶转化成它的代谢物三磷酸carbovir,它是强效逆转录酶抑制剂。

临床前的研究已经证明本品具有良好的穿透、进入脑和脊髓液的能力。而这些地方正是病毒常见的隐蔽所和病毒重要的复制储存器。当经腹膜给大鼠本品10 mg/kg,给药后0.5~2h测定脑中的药物浓度是血浆浓度的7% ~8% ,药物浓度以超过临床IC50的浓度被维持在脑中至少1h。AZT10 mg/kg,经腹膜给大鼠,给药后2h脑中药浓低于检测的阈值(0.19μM)。本品的极好穿透性也见于猴脑脊髓液。大鼠口服本品的生物利用率达100% 。

本品应当与其他抗病毒药物联合应用,不宜单独使用。

本品的毒性,在啮齿动物大鼠中测定,LD50经口单次剂量为>2000 mg/kg。而小鼠雄性和雌性分别为1730与>1900 mg/kg。静脉给药两种动物 LD50都 >260 mg/kg。连续经口给药30d,小鼠分为110、220或1000 mg/(kg·d)组。在中等剂量组的雌性小鼠和高剂量组的雌、雄性小鼠可见血清三酰甘油和胆固醇升高。将本品经口给猴子连续28d,剂量分为50、140或420 mg/(kg·d)组。除最低剂量组,血清三酰甘油都升高,最高剂量组可见肝重量增加。尽管本品具有良好的脑穿透性,但没有不良的神经生理学影响。在试验中未见诱变性。

【药代动力学】本品的药动学与 carbovir相比有明显的优点,本品口服,AUC大于 carbovir6倍,但它的清除略慢,然而这两种药物的血浆半衰期相似。

另一项药动学研究,以小鼠和猴子单次经口给本品,猴子分为14或35 mg/kg组,小鼠分为14或54~56 mg/kg组及静脉注射本品。猴子静注剂量同经口给药量(小鼠为14或77 mg/kg)。半衰期为1.3h,全身清除率为0.8L/(h·kg)及稳态分布容量为1.1L/kg。猴子两种静注剂量的结果相似。给猴子口服本品高剂量和低剂量后1.5和2h,观察到血浆浓度分别达峰值为15和29μM。本品在猴子体内的绝对生物利用度为76% 。而本品经静脉给小鼠其药动学是剂量依赖性的,在静注14或77 mg/kg后,其半衰期、清除率和分布容积分别为0.27和0.78h,2.7和1.9L/(kg·h)及0.91和1.3L/kg。小鼠口服本品的血浆峰浓度和生物利用率也是剂量依赖性的,分别为15和52 μM 及92% 和76% 。将14C标记的本品给猴子口服21 mg/kg和小鼠口服54 mg/kg结果,放射性的92% 和90% 分别出现在尿中,7% 在粪中。在给药后8h内在尿中发现放射性的78% 。本品在大鼠和猴子体内大部分被代谢,只有11% ~13% 以药物原形经尿排泄。

【适应证】抗人类免疫缺陷病毒(HIV)所致艾滋病。

【剂量与用法】口服,成人2次/d,1次300 mg,与其他抗逆转录病毒药物联合应用。青年和儿童病人(3个月到16岁),剂量按8 mg/kg,2次/d(直到最大剂量300 mg,2次/d),也要与其他抗逆转录病毒药物同服。如果一次剂量被漏服,应尽快补服并按原来规定时间用一次药物。

【临床评价】单独给予本品或与齐多夫定(AZT)联合治疗。先给予本品4周;然后以本品与AZT或与AZT/安慰剂联合治疗8周。无论单用本品或同 AZT联合都耐受良好。用本品200 mg,3次/d和400 mg,3次/d,病毒 RNA 降低到检出水平以下分别占病人的2/15和4/5,并伴有相应的CD4+数升高。

一项HIV阳性病人临床用本品300 mg,每12h1次,另加抗逆转录病毒药物治疗36周,病毒明显减少,在第12周,38例中有27例,在第36周22例中有16例病毒 RNA <400拷贝/ml。在本品与蛋白酶抑制剂或核苷联合治疗组中,病人的9/10达到不能检出病毒。在停止治疗后本品的功效持续近1年。

8例HIV阳性病人CD4+≤100;HIV-RNA >5000拷贝/ml,随机应用本品300 mg,12h1次与下列蛋白酶抑制剂之一合用:英地那韦(每8h800 mg);amprenavir(每12h1200 mg);沙喹那韦(每8h1200 mg);利托那韦(每12h600 mg);或奈非那韦(每8h750 mg)。本品与这5种药物联合治疗都有良好的耐受性。只有4例由于可能与治疗有关的原因退出治疗。在所有本品联合治疗组都观察到伴随病毒的减少,逆转录病毒活性降低及CD8+、CD25+,CD28+和CD4+细胞明显增加;这可能表示功能恢复。

如前所述,本品具有良好的穿透、进入脑和 CNS中的能力。在一例用本品每12 h600 mg的病人,于给药不同次数进行腰穿,脑脊液中药物浓度在首次给药后2h达峰值,然后降低,然而脑脊液的AUC是4.347h·μg/L(血浆的AUC是12.030h·μg/L)。CNS中的药物浓度大约为血浆的1/3。

另一项研究,对未经治疗的60例病人(病毒 RNA≥30000拷贝/ml和CD4+≤100/mm3)。只给予本品每次300 mg,2次/d,连续24周,然后给予联合应用 AZT/2TC。共治疗72周。病毒抑制是明显的而且延长。效果表明伴随本品单一治疗后用含本品的联合疗法,对HIV 感染病人有明显的抗病毒和免疫学的好处。

【不良反应】使用本品最重要的不良反应是过敏性反应。在40项临床试验中,8000例病人,有约3% 的成人和儿童病人出现过敏反应。只有一例病人在停用本品后又重新服用,导致过敏性死亡。另有7例死亡疑是本品过敏反应所致。过敏反应的早期症状包括发热、恶心、不适和皮疹,很象流感,较难诊断。本品的常见不良反应为头痛、恶心、呕吐,腹泻和/或腹痛、皮疹,它与过敏反应不同之处在于若继续用药过敏反应会进行性恶化,停药则缓解。不良反应通常出现在治疗的第6周内。有些病人发生过敏反应而没有皮疹。此外,本品像所有核苷逆转录酶抑制剂一样会导致罕见的但又极具生命危险的乳酸中毒和严重脂肪变性肝肿大。应用本品已经出现了过敏症、肝功衰竭、肾功衰竭、低血压甚至死亡。

据文献报道,应用本品的成人中发生恶心为47% ,恶心并呕吐为16% ,失眠并其他睡眠紊乱为7% 。用本品治疗的儿童病人,比接受拉米夫定和齐多夫定的不良反应更常见,包括恶心和呕吐38% ,发热19% ,头痛16% ,贪食或厌食为9% 。

【注意事项】由于本品可能引起严重的过敏反应,因此第一次应用和以后再用本品时都应当告诉病人关于过敏反应的情况,如果发生皮疹、发热、恶心、呕吐、腹泻或腹痛、严重的疲劳、疼痛或全身不适的感觉,病人应该懂得立即停药并通知他们的医生。发生过敏反应的病人以后不应再服本品,因为可能在几小时内发生更严重的症状甚至威胁生命。临床上应该建立过敏反应的详细登记,以便顺利的收集和报告这些不良反应。

对已知患有肝病的病人,包括任何发生临床或实验室提示的乳酸酸中毒和明显的肝毒性(如肝肿大和脂肪变性即使没有明显的转氨酶升高)病人,应慎用本品。

本品被分类为妊娠 C类药品,妊娠期只有当预期的好处大于对胎儿的危险时才可使用。妊娠期的母亲服用本品或其他抗逆转录病毒药物时应对胎儿监护。为防止爱滋病感染,感染爱滋病的母亲不应给婴儿喂奶。如果病人停服药品应将剩余的药品退回药房。

【制剂规格】片剂:每片含本品300 mg。口服溶液剂,每毫升含本品20 mg。

【生产厂家】英国GlaxoWellcome公司。

随便看

 

离鸟网收录3541549条中英文词条,其功能与新华字典、现代汉语词典、牛津高阶英汉词典等各类中英文词典类似,基本涵盖了全部常用中英文字词句的读音、释义及用法,是语言学习和写作的有利工具。

 

Copyright © 2004-2024 vtrois.com All Rights Reserved
更新时间:2026/4/19 20:49:25