网站首页  词典首页


请输入您要查询的字词:

 

字词 吡咯
类别 中英文字词句释义及详细解析
释义

吡咯bǐluò

有机化合物,无色液体,有刺激性气味,可以制药。

吡咯bǐ luò

一种有机化合物,化学式C4H5N。[英] pyrrole。1939年Teh-Ching Leo,Cousland's English-Chinese Medical Lexicon:“pyrrole,吡咯,一氮二烯伍圜。”1942年《普通英汉化学词汇》:“Acetyl-pyrrole,乙醯吡咯。”

化学物质

化学物质

吡 苄 剂(试~;杀虫~)
化合物:羰 卟 哒 羧茎 巯茎 羟茎硭硝 硇砂
有机化合物:脂 肽 膦 胂 腈 胩 肼 脲 胨 甾 腙 肟 胍 氨胺 铵 脎 烷 烯 炔 烃 脒苎 醇 酰 酚 酮 醛 醚 酯醌 酞 酶 醣 酐 嗪 砜 甙羟 莰 苯 茚 萘 菲 蒽 苷蒈 苊 鏻 鉮 凎 啶 糖 蜡噻吩 吡咯 噻唑 咔唑 吡啶 嘧啶 喹啉 吲哚 呋喃 旦白 嘌呤 哌嗪 萜烯
无机化合物:盐 矾 硝 卤 酸 碱 水 酰 铵 锈 砒霜 石膏 阴精石
一种无机化合物:丹(丹干;丹矸;丹砾;丹朱;丹沙;丹砂) 朱砂辰砂
润泽光艳的朱砂:渥赭 渥丹 渥朱
具有强烈腐蚀性的浓硝酸、浓硫酸:镪(镪水;硝镪水)
金属表面的氧化物:锈(~涩;生~)
铁锈:铁腥 铁衣
铜锈:铜华 铜花 铜青 铜毒 铜黛 铜绿

☚ 元素   自然的 ☛
吡咯

吡咯biluo

含一个氮杂原子的五元杂环化合物,分子式C4H5N。无色液体,沸点为131℃,不溶于水,易溶于乙醇、乙醚。吡咯环上的5个原子均为sp2杂化,处于同一平面,氮原子的


一对未共用电子占据的p轨道,与四个碳原子的p轨道平行且重叠,形成5原子、6个π电子的闭合共轭体系,具有芳香性,易发生亲电取代反应。如:



2,3,4,5-四溴吡咯

吡咯有弱酸性,可与固体氢氧化钾反应生成盐:


吡咯易被氧化,也可以催化氢化:



四氢吡咯

四氢吡咯为环状仲胺,有弱碱性。吡咯环与苯环并联


生长调节剂。
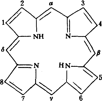
4个吡咯环由次甲基 (—CH=) 连接成的大环叫㗊环(见下图,


读音lei),也叫做卟吩。含有环的化合物叫㗊族化合物或卟啉。叶绿素、血红素都属㗊族化合物。
重要的吡咯衍生物还有胆红素、维生
素B12等。
☚ 呋喃   噻吩 ☛
00006033
随便看

 

离鸟网收录3541549条中英文词条,其功能与新华字典、现代汉语词典、牛津高阶英汉词典等各类中英文词典类似,基本涵盖了全部常用中英文字词句的读音、释义及用法,是语言学习和写作的有利工具。

 

Copyright © 2004-2024 vtrois.com All Rights Reserved
更新时间:2026/4/20 1:36:35