网站首页  词典首页


请输入您要查询的字词:

 

字词 Z-分布
类别 中英文字词句释义及详细解析
释义 Z-分布

亦称“费希尔Z分布”。

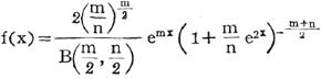
英国统计学家费希尔(R.A.Fisher)根据等于e2z而导出的分布。其密度函数为:

式中:m,n>0,-∞<x<+∞。

Z-分布主要应用于两个总体标准差间的差异显著性的检验。

它可由F-分布通个变换F=e2z而得到。

随便看

 

离鸟网收录3541549条中英文词条,其功能与新华字典、现代汉语词典、牛津高阶英汉词典等各类中英文词典类似,基本涵盖了全部常用中英文字词句的读音、释义及用法,是语言学习和写作的有利工具。

 

Copyright © 2004-2024 vtrois.com All Rights Reserved
更新时间:2026/4/18 23:37:32