网站首页  词典首页


请输入您要查询的字词:

 

字词 同位素效应
类别 中英文字词句释义及详细解析
释义

同位素效应isotopic effect

元素的同位素之间由于原子质量的差异而对理化性质、表现行为以及反应过程产生的影响。由于这种效应主要是由同位素质量上的差别而引起的,所以又称同位素质量鉴别作用。对于一些轻元素的同位素,相对质量差别比较大,同位素效应明显,生物试验如果出现这种情况,需估计其大小,必要时进行适当的校正,以减少其对试验的干扰。

同位素效应

同位素效应

在化学或生物化学反应中,当反应物的分子中某一原子被它的同位素取代时,有时会发生反应速度的变化,称为同位素效应。也就是说同一元素的几种同位素虽然在化学及生物化学行为上没有质的区别,却可呈现量的差异。用同位素作示踪实验时,若目的是比较实验组与对照组的异同,各组都有相似的同位素效应,作结论时常可不考虑这种效应。但如果是利用示踪方法测定某一参数的绝对值,例如反应速度常数、清除率、更新速度、代谢库等,同位素效应就不可忽略,必要时应对此作一定的校正。
原子质量对振动能的影响 一个化学键的基态振动能和该化学键涉及的原子的质量有关。如果键一端的原子被它的同位素取代,而且后者的质量较大,则基态振动能降低。此时若欲将键能升高到使它打开的程度,所需的能量较多 (见图),显然反应速度也就相应地变慢。同位素效应通常以反应速度常数的比值来表示。如KH/KD(或KD/KH)表示氘的同位素效应,K12C/K13C表示13C的同位素效应。在不同的反应中,同一核素的同位素效应可以有较大的差异。


氢和氘与碳形成共价
键时振动能的差别


几种不同类型的同位素效应 当反应直接涉及不同同位素所在的键时,同位素效应比较明显,称为初级同位素效应。同位素间相对质量差越大此种同位素效应越明显。所以氢的同位素效应最明显。以氘为例,KH/KD最大可达8或9(少数情况甚至更高)。氚的同位素效应更明显。原子序数较高的元素也有同位素效应,但较不显著,通常反应速度常数的比值约在1.02至1.10之间。有时同位素效应发生在不同同位素所在位置邻近的化学键(不直接参预反应),称为次级同位素效应,例如:

对这种效应的机制尚无统一认识。多数人倾向于认为主要是由于反应的过渡阶段中发生超共轭效应或其他电荷离位效应。
第三种同位素效应称为溶剂同位素效应,即由于溶剂分子中某种原子被其同位素取代而影响溶质的反应速度。例如在一些酸或碱催化的反应中,如果用D2O(氘水)代替H2O,其KH2O/KD2O比值往往和1.0相差很大(0.5~6.0)。对溶剂同位素效应的机制也还缺乏统一认识。对酸或碱催化的反应来说,通常以D2O和H2O对酸碱度的影响不同来解释(D2O+的酸度比H3O+强,OD-的碱性比OH-强)。D2O的粘度比H2O大,可能也是一个因素(粘度大可使反应速度减慢)。
生物体系中的同位素效应 当动物体内的H2O有20~30%被D2O(氘水)取代时,会发生明显的生殖机能障碍,死胎及死婴的发生率增加。D2O含量增加到30~35%时则动物不能耐受而死亡。其他元素没有发现类似的现象。长期用含70%13C的饲料喂动物不出现明显的中毒症状,用H218O代替H2O喂小鼠,也不出现中毒症状,生殖正常。D2O的这种毒性作用一般都认为是由于同位素效应,但具体机制尚未阐明。
同位素效应在生物示踪实验中也已有不少实例。将重水(D2O)和氚水(T2O)混匀后喂给哺乳大鼠,其乳汁中T/D比值约为饮水中的0.8。类似的实验还见到,D参入动物肝糖原及脂肪酸的速度比T快8%及18%。
生物活性物质的层析行为有时可因所带标记原子不同而不同。例如3H-醛固酮作层析分离时推进速度和14C-醛固酮不同。这种现象提示,对标记物作层析分离时,完全依靠非标记标准品作定位参考可能引起误差,应当同时测放射峰。
酶反应的同位素效应有时也相当明显。用放射化学方法测定酶的活力目前应用甚广,应当注意同位素效应的影响。定最大反应速度或米氏常数时,应有一校正值。
关于抗原抗体反应,最近有报道,以雌二醇第六位碳接白蛋白作抗原生成的抗雌二醇抗体,和3H-雌二醇的亲和力与非标记雌二醇有明显差别,含四个氚原子的标记雌二醇比含两个氚原子者更为突出。
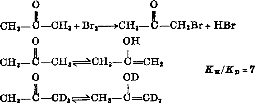
同位素效应作为研究化学或生化反应机制的一种
手段对初级同位素效应来说,反应速度的差异只在发生于限速步骤时才会显现出来。因此可以帮助判断某些瞬时性中间反应的历程。例如,丙酮的溴化与Br2浓度无关,因此设想其中可能有一瞬时性的中间反应作为限速步骤,而且很可能是一种异构反应(甲基上的氢移至氧原子上)。这一反应包括一个C—H键的打开,如果用氘取代氢,应当显示速度差异。实验表明,若用氘化丙酮代替普通丙酮,其KH/KD比值为7,由此证实了上述异构反应的存在。


对次级同位素效应来说,由于反应速度主要受反应键邻近键上基团中同位素的影响,故近年来主要被用于研究邻近基团对反应的影响能力。若邻近基团中的H被D取代后KH/KD比值改变甚大,说明该基团对反应有明显影响,反之,若KH/KD接近1,则说明没有显著影响。
溶剂同位素效应也已被用于研究某些反应机制。例如酸催化反应第Ⅱ型及第Ⅲ型的基本过程如下:


在第Ⅱ型中,限速步骤为第一步,故反应速度与酸的强度成正比,因为D3O+的酸强度大于H3O+,故KH2O/KD2O<1。在第III型中,限速步骤在第二步,故反应速度与酸强度关系不大,主要取决于S·HA复合物的分解速度,应当符合一般同位素效应的规律,KH2O/KD2O>1。所以通过测定KH2O/KD2O可区别某一酸催化反应属于以上两型中的那一型。
☚ 生化反应机制的示踪研究   生物大分子结构与功能的示踪研究 ☛
00018712
随便看

 

离鸟网收录3541549条中英文词条,其功能与新华字典、现代汉语词典、牛津高阶英汉词典等各类中英文词典类似,基本涵盖了全部常用中英文字词句的读音、释义及用法,是语言学习和写作的有利工具。

 

Copyright © 2004-2024 vtrois.com All Rights Reserved
更新时间:2026/4/18 14:53:18