网站首页  词典首页


请输入您要查询的字词:

 

字词 x2测验
类别 中英文字词句释义及详细解析
释义 x2测验

对实验观察值与理论推算值是否符合的一种统计测验方法。

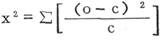
x2的含义可用公式表示如下:

式中∑为总和,0为实验观察值,c为理论推算值。

x2值越小,表示实验结果与理论推断的符合程度越大。

至于小到何种程度才可作出二者符合的结论,需要把算出的x2值与数理统计工作者做出的x2表内的相应值进行比较。

随便看

 

离鸟网收录3541549条中英文词条,其功能与新华字典、现代汉语词典、牛津高阶英汉词典等各类中英文词典类似,基本涵盖了全部常用中英文字词句的读音、释义及用法,是语言学习和写作的有利工具。

 

Copyright © 2004-2024 vtrois.com All Rights Reserved
更新时间:2026/4/19 8:38:11