网站首页  词典首页


请输入您要查询的字词:

 

字词 t检验法
类别 中英文字词句释义及详细解析
释义 t检验法

已知总体是正态总体,但总体方差未知,用给定的一组样本x1,x2…xn,检验总体均值是否等于已知常数μ0的统计检验法。

其检验步骤如下:

1.提出统计假设H0∶μ=μ0;

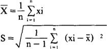
2.计算“样本均值”X及“样本标准差”S:

再计算

3.按给定的显著水平α,查t分布表。其中,参数f=n-1(n是样本容量)。求值tα,使P(|t|>tα)=α,称tα为临界值。

4.进行统计推断。

如|t|>tα,则否定H0;如|t|≤tα,则接受H0

随便看

 

离鸟网收录3541549条中英文词条,其功能与新华字典、现代汉语词典、牛津高阶英汉词典等各类中英文词典类似,基本涵盖了全部常用中英文字词句的读音、释义及用法,是语言学习和写作的有利工具。

 

Copyright © 2004-2024 vtrois.com All Rights Reserved
更新时间:2026/4/20 10:42:17