t检验
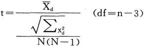
常用的假设检验统计方法之一,可用于独立小样本或来自正态分布总体、未知总体标准差的样本平均数及平均数差异的显著性检验、来自同一样本的相关系数差异的显著性检验,以及非正态分布的皮尔逊积差相关系数的显著性检验等方面。 其中,在心理与教育研究中应用最多的是平均数及平均数差异的显著性检验,例如两组儿童的考试平均分是否存在差异。依据进行比较的两个样本间的关系,t检验可分为独立样本t检验和相关样本t检验。前者指两个样本相互独立,这时t值的基本计算公式为t= (df=n-1)( 为两个样本平均数之差,SED为样本平均数之差的标准误)。后者指样本的平均数互有关联,并不独立,而是成对存在。 例如新教学方法引入前后学生的某项考试成绩的比较,这时t值的计算公式为:  ( 为各对观测值差数的平均数,Xd为两个样本中各对观测值的差数与差数平均数的离差,N为成对数据的数目)。t检验的基本运用前提包括变量为等距性质、总体分布为正态及两个样本的方差齐性。但在实际运用中,如果总体分布不明或方差不齐,可以采取数学修正方法,使用t检验也不会导致错误结论,因此t检验是统计活性很强的方法。 |