网站首页  词典首页


请输入您要查询的字词:

 

字词 t分布
类别 中英文字词句释义及详细解析
释义 t分布

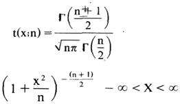
设X~N(0,1)与独立,则随机变量

的分布称为有n个自由度的t分布,并记作T~tn

其分布密度为:

t分布是1908年英国统计学家戈赛特(Gosset),以“学生”(Student)的笔名提出的,后经英国统计学家费雪(R.A.Fisher)将其修改完善。它与X2分布、F分布一起构成三个主要的样本精确分布,为参数估计和假设检验提供了推断的理论根据。

t分布的提出,使统计学由描述阶段进入到推断阶段,可以说是数理统计走向独立学科的里程碑之一。

随便看

 

离鸟网收录3541549条中英文词条,其功能与新华字典、现代汉语词典、牛津高阶英汉词典等各类中英文词典类似,基本涵盖了全部常用中英文字词句的读音、释义及用法,是语言学习和写作的有利工具。

 

Copyright © 2004-2024 vtrois.com All Rights Reserved
更新时间:2026/4/20 13:30:32