t—分布
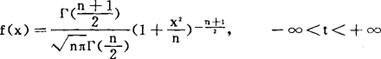
也称“学生氏分布”。 在推断平均数时一般都要用到总体方差,而多数情况下总体方差系未知数,须用样本方差代替,这就会导入一定误差,若抽样数目不大(小样本),误差则会影响到必要的精确度。因而必须在计算公式中避免运用总体方差来克服这个缺点。为此,英国酿酒专家、统计学家科萨得以Student(学生)为笔名提出著名的t-分布,故也称学生氏分布。设X服从正态分布N(0,1),y服从x2-分布X2(n),且x与y相互独立,则随机变量:  服从自由度为n的t-分布,记作t~t(n),其概率密度函数为:  t-分布为对称分布,形似正态分布,但t-分布曲线两端较正态分布曲线为凸起。 以t=0对称。当n很大时,t分布近似于正态分布n(0,1),故通常t分布表只列出自由度由1~30,若自由度大于30,则可应用正态分布。 t-分布的应用范围广泛,主要可用作:总体平均数的估计;样本与总体间平均数显著性检验;两个样本平均数差异的显著性检验;平均量差异的估计。 |