口服降糖药
口服降血糖药为一类口服有降血糖作用,可用于治疗糖尿病的药物,使用方便,但作用比胰岛素弱,作用开始慢,临床上对非胰岛素依赖型糖尿病有效,这些病人大多为成年后发病,病情较轻,胰岛分泌的胰岛素量少。口服降血糖药按化学结构的类型不同分为磺酰脲类和双胍类。
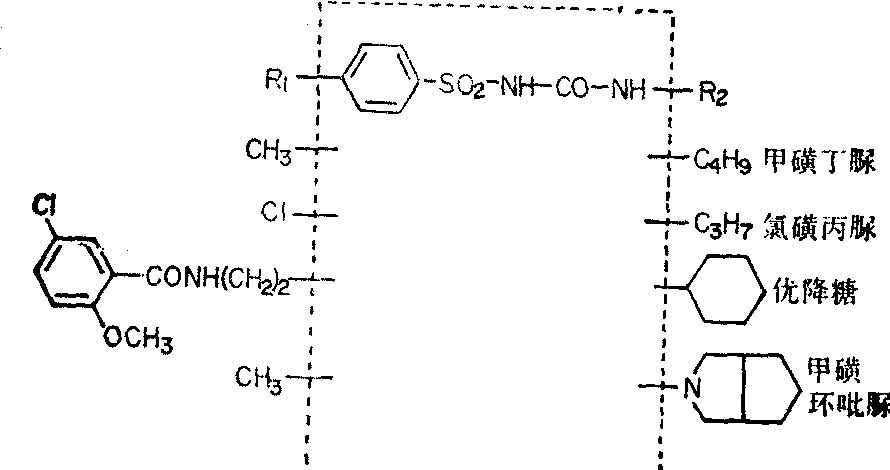
磺酰脲类 这类药物仅对尚有胰岛功能,能合成和分泌胰岛素的病人有降血糖作用。甲磺丁脲 (tolbutam-ide,D860)、氯磺丙脲(chlorpropamide,P607) 和优降糖(glybenzcyolamide,glybenclamide)是磺酰脲类中常用的药物。甲磺环吡脲(gliclazide,diamicron) 是近来研制成功的药物,其降血糖作用与甲磺丁脲相似,但作用较强维持时间长。本品尚有血浆纤维蛋白溶解作用,拮抗血小板粘着和聚集,对糖尿病的血管病变有防治作用。

磺酰脲类的化学结构
双胍类 (biguanides) 这类药物对完全切除胰岛的动物也有降血糖作用,虽然应用已有20余年的历史,但其降低血糖的机理尚未完全清楚。苯乙双胍(phenethyl-biguanide,phenformin,DBI)和二甲双胍(dimethylb-iguanide,metformin,DMGG)是这一类中较常用的药物,这些药物的不良反应发生率比磺酰脲类为高。磷酸苯甲双胍(methylbiguanide phosphate)是苯乙双胍的类似物,其降血糖作用和强度均与苯乙双胍相似,但较少产生乳酸性酸中毒和胃肠道反应。
