网站首页  词典首页


请输入您要查询的字词:

 

字词 双边垄断
类别 中英文字词句释义及详细解析
释义

双边垄断

指在一个市场上只有一个卖者与一个买者。

双边垄断Bilateral Monopoly

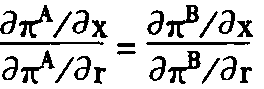
双边垄断的基本特点是单一买者-单一卖者,在市场供给方面,只有一个公司或个人的卖方垄断者; 而在市场的需求方面,也只有一个公司或个人的买方垄断者。鲍尔(1928) 以如下方式建立了一个标准的双边垄断模型。假设卖者的利润函数是πA=r·x-G (x),其中,r代表卖方所要出售的商品的价格,X代表售出的商品的数量。G (x) 为卖方的总成本函数。买者的利润函数是πB=f (x) -r(x)。其中x代表买者的投入,f (x)是作为x的函数的买方总利益。也即f (x) =d[h (x)] h (x),其中h是企业的生产函数,d代表该企业在市场上面临的反需求函数。买卖双方选择r和x来实现利润总和的最大化,帕累托最优条件是

或者:

第二式整理即可得到f′(x) = C′(x),因此双方获得最大的共同利润的条件是买方的边际收益等于卖方的边际成本。至于所实现的利润如何在双方之间进行分配则取决于双方讨价还价的能力,它具体地反映在交易价格r上。这是双边垄断问题的一个合作解,也可能出现非合作解。例如在施塔克尔贝克 (Stackelberg) 市场主导者模型中,假设卖方是市场主导者,他提出一个价格r,然后买方提出一个数量要求,卖方就以他提供的价格提供买方指定数量的产品。先假定r不变,卖方会在买方最大化其收益f(x)-rx的考虑下计算买方对价格r的反应函数f’(x) =r再以该反应函数为约束条件最大化自己的利润函数。非合作性交易一般不是帕累托最优的。双边垄断的研究不仅限于实际交易行为,实际上这一框架可以在更加广泛的意义上加以运用。如在劳工管理谈判中,运用该方法解释协议制定过程和最优协议的产生等等。

双边垄断Bilateral Monopoly

一种特殊的垄断形式。市场的买卖双方都是唯一的垄断者。双边垄断市场的均衡价格和均衡数量可以视为两个局中人进行合作对策或非合作对策的结果。这时存在四种可能结果:
❶若卖方垄断者(或买方垄断者) 在谈判中占优势,最终的均衡价格和均衡数量由卖方(买方)决定,均衡解等同于卖方垄断解 (买方垄断解);
❷买卖双方都是价格制定者,最终实现的均衡解是准竞争解,准竞争价格位于买方垄断价格和卖方垄断价格之间;
❸买方垄断者与卖方垄断者进行合作对策,达成双方都满意的关于价格和数量的协议,协议的产出水平是准竞争产出水平,它使双方的联合利润最大化,协议的价格水平则决定了他们之间如何分配联合利润,具体价格水平的确定取决于买者和卖者的相对谈判力量;
❹买卖双方始终不能达成交易,市场机制被破坏。

双边垄断

双边垄断bilateral monopoly

指一种市场情况,该市场的特征是,在供给方面和需求方面都只有一个厂商,即单一垄断卖者对单一垄断买者。由于一种产品的单一卖者与单一买者必然会彼此发生交易活动,故他们显然能够正式地达成有约束力的协议。但他们成交的均衡点是不确定的,视两者讨价还价的情况而定。

☚ 买方寡头   非价格竞争 ☛
双边垄断

双边垄断bilateral monopoly

双边垄断是一种特殊的垄断形式:市场的买卖双方都是惟一的垄断者。双边垄断市场的均衡价格和均衡数量可以视为两个局中人进行合作对策或非合作对策的结果。这时存在四种可能的结果:
❶若卖方垄断者(或买方垄断者)在谈判中占优势,最终的均衡价格和均衡数量由卖方(买方)决定,均衡解等同于卖方垄断解(买方垄断解);
❷买卖双方都是价格制定者,最终实现的均衡解是准竞争解,准竞争价格位于买方垄断价格和买方垄断价格之间;
❸买方垄断者与卖方垄断者进行合作对策,达成双方都满意的关于价格和数量的协议,协议的产出水平是准竞争产出水平,它使双方的联合利润最大化,协议的价格水平则决定了他们之间如何分配联合利润,具体价格水平的确定取决于买者和卖者的相对谈判力量;
❹买卖双方始终不能达成交易,市场机制被破坏。

☚ 双头垄断   反应函数 ☛
00000229
随便看

 

离鸟网收录3541549条中英文词条,其功能与新华字典、现代汉语词典、牛津高阶英汉词典等各类中英文词典类似,基本涵盖了全部常用中英文字词句的读音、释义及用法,是语言学习和写作的有利工具。

 

Copyright © 2004-2024 vtrois.com All Rights Reserved
更新时间:2026/4/20 5:43:13