网站首页  词典首页


请输入您要查询的字词:

 

字词 卵磷脂
类别 中英文字词句释义及详细解析
释义

卵磷脂luǎn lín zhī

一种磷脂。1941年沈志坚《奇异的生命》第三章:“卵磷脂,lecithin。”◇卵黄素。

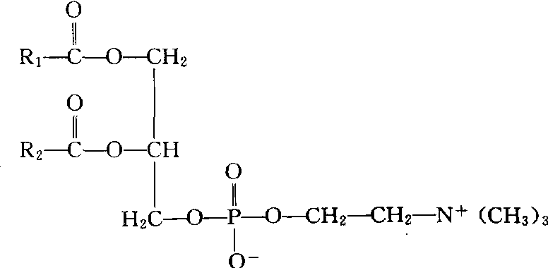
卵磷脂lecithin

又称磷脂酰胆碱。由甘油、脂肪酸(二分子)、磷酸和胆碱失水缩合而成的脂。结构式如下。分子中的脂肪酸链有饱和与不饱和两种,是非极性的疏水尾;磷酸胆碱部分为偶极离子,是极性的亲水头。无色蜡状物,易吸水,易氧化,溶于乙醚和乙醇而不溶于丙酮。是生物膜的主要成分之一。广泛存在于动、植物的各种组织、器官中,在大豆、脑和卵黄中含量尤多。在食品、化妆品、肥皂、橡胶及皮革工业中作乳化剂。

卵磷脂lecithin

系脂类的一种,是磷酸、脂肪酸、胆碱的复合性甘油酯。主要存在于大豆、卵黄及动物脑内。卵磷脂为黄色或棕褐色粘稠的膏状物,在空气中遇光易变质,不溶于水,易溶于有机溶液中。卵磷脂为人体的重要营养成分,参与中枢神经系统等组织的组成与重要代谢,可降低机体内胆固醇、预防动脉粥样硬化、脂肪肝等。临床用于治疗肝炎、肝硬化、神经衰弱、营养不良、贫血、消瘦等。在食品中可多食豆类、蛋及内脏。

卵磷脂

简称“PC”。磷脂酰胆碱的异名,又称胆碱磷脂甘油酯。高等植物和动物的组织、脏器中的一种主要磷酸甘油酯,由其磷脂酸上的胆碱与磷酸基化合成酯。

卵磷脂lecithin

亦称磷脂酰胆碱。是生物界中一种重要的磷酸甘油酯。其结构中包括一分子甘油,两分子脂肪酸,一分子磷酸和胆碱。

卵磷脂

lecithin

随便看

 

离鸟网收录3541549条中英文词条,其功能与新华字典、现代汉语词典、牛津高阶英汉词典等各类中英文词典类似,基本涵盖了全部常用中英文字词句的读音、释义及用法,是语言学习和写作的有利工具。

 

Copyright © 2004-2024 vtrois.com All Rights Reserved
更新时间:2026/4/19 12:14:42