网站首页  词典首页


请输入您要查询的字词:

 

字词 危险度分析
类别 中英文字词句释义及详细解析
释义
危险度分析

危险度分析

危险度是测定致病因素效应的指标,用来衡量因素和发病(或死亡等,下同)的相关程度或因素对人群发病的影响大小,常用于流行病学研究。它包括:
(1)相对危险度: 符号为RR。即人群总体中暴露于某因素者的发病率π1与非暴露(或低暴露)者发病率π。之比,说明前者为后者的多少倍。


(2)特异危险度: 符号为AR。或称归因危险度。即暴露者的发病率π1与非暴露者发病率π0之差,说明净由某因素所致之发病率。

AR=π1-π0。(2)


(3)人群特异危险度: 符号为PAR。说明人群总体的发病中有多大比例可用该因素来解释。计算时既考虑了因素与发病的联系强度,也考虑了人群总体中暴露者所占的比例r。


式中π1与π0的意义同式(1),分母为人群总体发病率,分子为由于暴露于该因素使人群发病率增加的部分。由式(1),π1=RR×π0,代入式(3),得


上述三种指标中,以相对危险度应用最广。下面根据不同的调查研究类型,阐述相对危险度的点估计、区间估计和假设检验的基本方法。
队列研究(定群研究) 在这类研究中,观察人群按是否暴露或暴露程度分组,经一定时期随访,然后比较各组人群的发病率。分析方法如下:
(1)计算发病率与相对危险度。调查所得资料有两类:
❶随访期中由于新加入、失访或死亡等原因,各观察对象的观察期长短不同,应以观察人年数为分母计算发病率。资料如下:

 人年数病例数发病率
暴露组n1aa/n1
非暴露组n0cc/n0
合 计na+c(a+c)/n

❷随访期中各观察对象是固定的,以观察人数为分母计算发病率。资料如下:

 观察人数病例数非病例数发病率
暴露组n1aba/n1
非暴露组n0cdc/n0
合 计na+cb+d(a+c)/n

两种资料的样本相对危险度RR均按式(5)计算


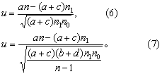
(2)推断RR是否为1。总体相对危险度RR为1,表明该因素的存在并不影响发病。样本相对危险度RR是RR的点估计,由于存在抽样误差,故须进行假设检验,方法用u检验。统计量u值的计算,上述
❶类资料按式(6),
❷类资料按式(7)。


求得u值后,查u界值表得P值,按所取检验水准作出推断结论。
(3)求RR的可信区间。取可信度为1-α时,先按对数正态近似原理,用式(8)计算出对数值,再取反对数即得真数值。

式中uα为u界值表中双侧α相应的u值,如α=0.05,uα=1.96;式中u值按式(6)或式(7)求出。
例1 试用表1资料计算某地某年龄组男性吸烟对冠心病死亡的相对危险度,作假设检验并推断总体相对危险度的95%可信区间。

表1 某地某年龄组男性吸烟者和非吸烟者冠心病死亡资料

 人年数死亡数死亡率(1/10万人年)
吸烟者
非吸烟者
43248(n1)
10673(n0)
104(a)
12(c)
240.5
112.4
合 计53921(n)116(a+c)215.1[(a+c)/n]

(1)求。按式(5),


(2) 推断RR是否为1。
H0: RR=1,
H1: RR>1。
单侧α=0.05(因吸烟对冠心病无益)。


查u界值表得0.01>P>0.005,按α=0.05水准拒绝H0,接受H1
(3) 求RR的95%可信区间。按式(8),u0.05 =1.96,

取反对数得(1.19,3.83)。
说明该地某年龄组男性吸烟对冠心病死亡有相关联系,相对危险度的点估计为2.14,其95%区间估计为1.19~3.83。
例2 试用表2资料计算投予某药物后对实验动物死亡的相对危险度,作假设检验,并推断总体相对危险度的95%可信区间。

表2 某药物对实验动物死亡的影响

 动物数死亡数存活数死亡率(%)
给药组
对照组
106(n1)
120(n0)
8(a)
5(c)
98(b)
115(d)
7.55
4.17
合 计226(n)13(a+c)213(b+d)5.75

(1)求RR。按式(5),


(2)推断RR是否为1。
H0: RR=1,
H1: RR≠1。
α=0.05。


查u界值表得0.50>P>0.20,按α=0.05水准不拒绝H0,不能认为该药对实验动物的死亡有相关联系。
(3)求RR的95%可信区间。按式(8),u0.05=1.96,

取反对数得(0.62,5.28)。
总体相对危险度的95%可信区间为0.62~5.28,包括1在内。亦可得出上述同样结论。
成组病例对照研究 在这类研究中无法直接计算暴露组和非暴露组的发病率,所比较的是病例组和对照组中暴露者所占的比例,并通过计算比数比(详后)来估计相对危险度。分析方法如下:
(1) 求比数比ψ。设人群总体中暴露者与非暴露者的发病概率分别为π1和π0,总体中暴露者所占的比例为r,则总体内每一个体出现在下述四种情况中的概率如四个格子内的数值所示。例如,个体属病例又为暴露者的概率为rπ1,余类推。

由此,可得病例中暴露的概率π′1为

对照中暴露的概率π′0为

病例和对照中暴露概率与非暴露概率之比,即π′1/(1-π′1)和π′0/(1-π′0),各称为比数。这两个比数之比称比数比,用符号ψ表示,即

将式(9)和式(10)代人式(11),得


当π1和π0甚小时,1-π0≐1-π1≐1;于是

因此,当发病概率π1和π0很小时,由比数比ψ可近似估计相对危险度RR。
假定病例对照研究中的病例组和对照组对人群总体中的病例和非病例分别是有代表性的样本,下列格子内是样本实际观察例数,分别为上述π'1和π'0的估计值。


由式(11),总体比数比ψ的估计值(也即RR的估计值)为


(2)推断Ψ是否为1。可用u检验。统计量u值的计算用式(15)或式(16)。


若施以连续性校正,则


求得u值后,查u界值表得P值,按所取检验水准作出推断结论。
(3)求Ψ的可信区间。取可信度为1-a时,先按对数正态近似原理,用式(17)计算出对数值,再取反对数即得真数值。


式中ua的意义同式(8),u值为按式(15)不施行连续性校正的计算结果。
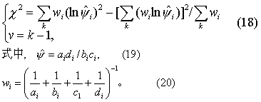
分层抽样资料的分析: 为了排除性别、年龄或其他有关条件对拟观察因素效应的影响,常按有关条件对调查资料进行分层处理。设病例对照研究资料共分k层,第i层的结果为:


分析: (1)推断各层内部的比数比Ψi是否相等,用x2检验,统计量x2值按式(18)计算,

若x2检验不拒绝层间比数比Ψi相等的假设,可按Mantel-Haenszel法,用式(21)计算公共比数比的估计值c,


(2)推断Ψc是否为1。仍用u检验,统计量u值的计算按式(22)或式(23)。


若施以连续性校正,则


求得u值后,查u界值表得P值,按所取检验水准作出推断结论。
(3)求Ψc的可信区间。取可信度为1-α时,先按对数正态近似原理,用式(24)计算出对数值,再取反对数即得真数值。


式中uα意义同式(8),u值为式(22)中不施行连续性校正的计算结果。
例3 用表3资料计算男女性年幼时有无反复发荨麻疹史对患慢性气管炎的相对危险度。若能计算公共的相对危险度,再作假设检验和估计95%可信区间。

表3 慢性气管炎病例组和对照组的荨麻疹史

 
有病史无病史合计有病史无病史合计
病例组
对照组
30
15
138
153
168
168
20
11
90
99
110
110
合 计4529133631189220

(1)推断男女间两比数比Ψ是否相等。
H0: 男女间Ψ相等,
H1: 男女间Ψ不等。
α=0.05。
按式(19)及式(20):

按式(18)得
x2= [8.7887(ln2.2174)2+6.1682(ln2)2]
-[8.7887(ln 2.2174)+6.1682(ln2)]2/(8.7887+6.1682)=0.0386,ν=2-1=1。
查x2界值表得P>0.5,按a=0.05水准不拒绝H0,故可求男女两组公共的比数比。按式(21)得


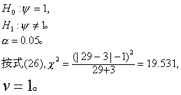
(2)推断Ψc是否为1。
H0: Ψc=1,
H1: Ψc≠1。
α=0.05。


或按式(23)经连续性校正后,u=2.8345。查u界值表,均为P<0.01,按α=0.05水准拒绝H0,接受H1
(3)求ψ0的95%可信区间。按式(24)得

取反对数得(1.29,3.50)。
本资料说明男女荨麻疹史对慢性气管炎的发病有相关联系,公共相对危险度的点估计为2.13,其95%可信区间为1.29~3.50。
配对病例对照研究 在这类研究中,对每一病例配以性别、年龄或其他有关条件相似的一个或几个对照,然后比较病例和对照以往暴露于致病因素的经历。在1:1配对情况下,每个对子的调查结果必属于下列四种情况之一:
❶病例和对照均暴露(对子数为a),
❷病例和对照均非暴露(对子数为d),
❸病例暴露而对照非暴露(对子数为b),
❹病例非暴露而对照暴露(对子数为c)。调查结果可整理如下:

a+b+c+d为调查的总对子数。
分析: (1)求ψ。可将每个对子视为一个分层,由式(21)可导出ψ的估计值为式(25),

=b/c。 (25)


(2) 推断ψ是否为1。用x2检验,统计量x2值按式(26)计算。


(3)求ψ的可信区间,取可信度为1-a时,按式(27)计算,
(b/[(c+1)Fa(2c+2,2b)],(b+1)Fa(2b+2,2c)/c)。(27)注意: 式中F值系由F界值表(方差齐性检验用)查得。例4 表4为配对病例对照研究结果,试计算服用雌激素对子宫内膜癌发病的相对危险度,作假设检验,并推断总体相对危险度的95%可信区间。


表4 服用雌激素对子宫内膜癌发病的关系
(配对病例对照研究资料)

病 例对 照
有用药史无用药史
有用药史
无用药史
27
3
29
4

(1)求。按式(25),


(2)推断ψ是否为1。


查x2界值表,P<0.005,按a=0.05水准拒绝H0,接受H1。(3)求ψ的95%可信区间。查较详细的F界值表(方差齐性检验用),F0.05(2×3+2,2×29)=2.42,F0.05(2×29+2,2x3)=4.96,按式(27)
(29/[(3+1)(2.42)],(29+1)(4.96)/3)=(3.00,49.6)。本资料说明服用雌激素对子宫内膜癌发病有相关联系,相对危险度的点估计为9.67,其95%可信区间为3.00~49.60。
☚ Ridit分析   圆形分布法 ☛
00013294
随便看

 

离鸟网收录3541549条中英文词条,其功能与新华字典、现代汉语词典、牛津高阶英汉词典等各类中英文词典类似,基本涵盖了全部常用中英文字词句的读音、释义及用法,是语言学习和写作的有利工具。

 

Copyright © 2004-2024 vtrois.com All Rights Reserved
更新时间:2026/4/20 15:42:52