网站首页  词典首页


请输入您要查询的字词:

 

字词 印楝素
类别 中英文字词句释义及详细解析
释义

印楝素azadirachtin

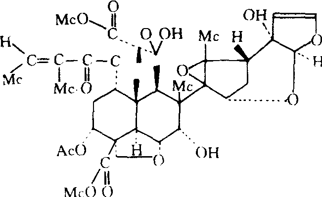
具有多种控制害虫作用的植物源活性物质。存在于楝科楝属印楝(Azadirachtaindica)植物种核和叶子中。1986年德国克劳斯(W.Kraus)报道其化学结构式:

美国威克伍德公司(Vikwood Ltd.)最先开发出以印楝种核为原料的杀虫剂马格杀(Margosan-O)。
性能 印楝素纯品为白色非结晶物质,对光热不稳定。易溶于甲醇、乙醇、丙酮、二甲亚砜等极性有机溶剂。对人、畜、鸟类和蜜蜂安全,不影响捕食性及寄生性天敌,在环境中很容易降解。具有拒食、忌避、毒杀及影响昆虫生长发育等多种作用,并有良好的内吸传导特性。印楝制剂施于土壤,可被棉花、水稻、玉米、小麦、蚕豆等作物根系吸收,输送到茎叶,从而使整株植物具有抗虫性。
应用 印楝制剂可有效地防治多种害虫,如舞毒蛾(Lymantria dispar)、日本金龟甲(Popillia japonica)、烟芽夜蛾(Heliothis virescens)、谷实夜蛾(Heliothis zae)、斜 纹 夜 蛾( Prodenia litura)、菜 蛾( Plutellamaculipennis)、潜叶蝇(Agromyzidae)、草地夜蛾(Spodoptera frugiperda)、沙漠蝗(Schistocerca gregaria)、非洲飞蝗(Locusta migratoria migratorioidis)、玉米螟(Ostrinia nubilalis)、稻褐飞虱(Nilaparvata lugens)等。常用0.1~1%种核乙醇提取物喷雾。按每100千克谷物加入2~ 5千克印楝叶子粉防治贮粮害虫。

印楝素azadirachtin

具有使昆虫拒食的三萜烯类化合物。从印楝树种子内所提取。化学结构式如下。在种子内含量约0.01%。具有很强的拒食及昆虫生长调节作用,并可被植物吸收。在0.1 mg/kg时即有拒食活性,0.35 mg/kg可以使拟黏虫拒食。印楝素对褐稻虱有强烈拒食作用,并可防止产卵。对人、畜等安全。

随便看

 

离鸟网收录3541549条中英文词条,其功能与新华字典、现代汉语词典、牛津高阶英汉词典等各类中英文词典类似,基本涵盖了全部常用中英文字词句的读音、释义及用法,是语言学习和写作的有利工具。

 

Copyright © 2004-2024 vtrois.com All Rights Reserved
更新时间:2026/4/20 23:07:22