网站首页  词典首页


请输入您要查询的字词:

 

字词 卡丹公式
类别 中英文字词句释义及详细解析
释义
卡丹公式

卡丹公式kadan gongshi

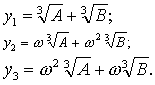
实系数一元三次方程

y3+py+q=0

的三个根是

式中


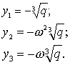
当p=0时,可得 A=0,B=-q或A=-q,B=0.此时方程为y3+q=0,它的三个根是

即-q的三个立方根.
上述公式是意大利数学家卡丹最早公布的,所以称为卡丹公式.
☚ 一元三次方程   一元三次方程的求根公式 ☛
00012235
随便看

 

离鸟网收录3541549条中英文词条,其功能与新华字典、现代汉语词典、牛津高阶英汉词典等各类中英文词典类似,基本涵盖了全部常用中英文字词句的读音、释义及用法,是语言学习和写作的有利工具。

 

Copyright © 2004-2024 vtrois.com All Rights Reserved
更新时间:2026/4/19 7:01:22