网站首页  词典首页


请输入您要查询的字词:

 

字词 博来霉素
类别 中英文字词句释义及详细解析
释义

博来霉素bleomycin

又叫博莱霉素,系由放线菌属中提取的一种抗肿瘤抗生素。本品适用于各种鳞癌、恶性淋巴瘤、脑瘤、甲状腺癌、睾丸肿瘤、纤维肉瘤等;也可用于治疗牛皮癣、寻常疣等。静注每次15~30mg溶于生理盐水或5%葡萄糖10~20ml中缓注,每周2~3次,1疗程总量300~600mg;肌注用量同上;也可动脉内注射、肿瘤体注射。

博来霉素

博来霉素


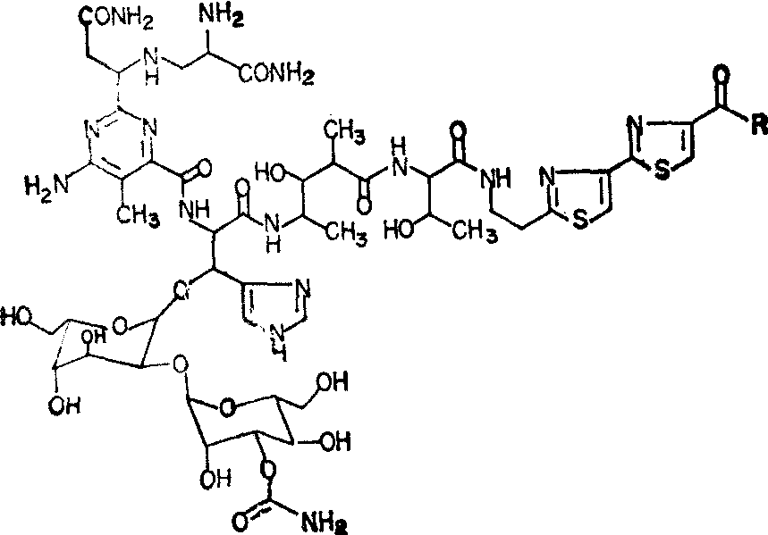
博来霉素(bleomycin)是由Str.verticillus所产生的碱性糖肽类抗肿瘤抗生素。天然产生的博来霉素为与铜螯合的蓝色复合物,最多由13种组分所组成,分为A.B两组(A组为A1、A2、A3、A4、A5、A6及A2),B组为B1、B2、B3、B4、B5、B6)。所有这些博来霉素组分都具有共同的基本结构,差别只是构成侧链的末端胺各不相同。分子量约为1400左右。临床使用的博来霉素一般为含有多种组分的复合物,其中A2占50~60%,B2占25~32%,去甲基A2、A1、A′2-a、A′2-b和A5占1~6%,B4<3%。其制品为去铜的白色或黄白色粉末。
博来霉素易溶于水,甲醇;微溶于乙醇,几乎不溶于丙酮、乙酸乙酯及乙醚。没有一定熔点。溶液在pH4.5~6.5较稳定,在碱性或酸性条件下皆不稳定。
博来霉素对很多微生物有很强的抑制作用,但由于毒性大,而不作抗菌剂使用。博来霉素可作肌内、皮下、静脉注射,也可局部注射,注射后半小时内血浓度即达高峰,但下降迅速,4小时后即呈微量。分布于各种脏器中,但以皮肤、肺、肾、前列腺、腹膜及淋巴系统中浓度最高。在肝、脾、骨髓、脑、肠道、血管等脏器中均被钝化,所以原形药浓度很低。24小时内几乎由尿中完全排泄。
博来霉素的作用机理主要是抑制DNA的合成。博来霉素与血液中二价铜离子(Cu++)结合,进入细胞后,博来霉素铜的复合物中的二价铜离子(Cu++)被还原,所形成的一价铜离子(Cu+)转移到能与之选择性结合的细胞蛋白质中,由此而产生的无铜博来霉素一部份受到博来霉素水解酶的作用,其中未受博来霉素水解酶作用的无铜博来霉素则到达细胞核和DNA特异性结合,抑制细胞的有丝分裂。在巯基化合物或H2O2存在时,博来霉素降低DNA的Tm值,使DNA双螺旋结构变得不稳定,引起单链断裂,并抑制DNA聚合酶所催化的DNA合成反应。它还能抑制DNA连接触酶的作用,促进DNA酶的活动使DNA降解。
临床上一般每周用药两次,每次15~30mg(效价)或根据情况间日一次或一日一次。总剂量为300~450mg(效价)。主要用于颈部鳞状上皮细胞癌、肺癌、子宫颈癌、阴道癌、阴茎癌、恶性淋巴瘤、食管癌、神经胶质癌等。对牛皮癣及癌前皮肤疾患等也有较好疗效。
博来霉素的突出优点是不抑制骨髓,不引起白细胞减少,也不抑制免疫系统。因此也适用于曾接受其他抗癌药或放射治疗而骨髓受损的病例,并适用于多种药物联合化疗。博来霉素常见的副作用为发热、食欲不振、恶心、呕吐等,用量大时能引起脱发,手指足趾肿胀肥大,皮肤色素沉着,血管硬化闭塞。最严重的是引起急性间质性肺炎和不可恢复的肺纤维化。所以在用药过程中应常检查肺部的变化,尤其是老年人。另外尚应注意病灶急速坏死脱落而引起大出血。
☚ 丝裂霉素   平阳霉素 ☛
00005660
随便看

 

离鸟网收录3541549条中英文词条,其功能与新华字典、现代汉语词典、牛津高阶英汉词典等各类中英文词典类似,基本涵盖了全部常用中英文字词句的读音、释义及用法,是语言学习和写作的有利工具。

 

Copyright © 2004-2024 vtrois.com All Rights Reserved
更新时间:2026/4/17 19:10:51