网站首页  词典首页


请输入您要查询的字词:

 

字词 单糖
类别 中英文字词句释义及详细解析
释义

单糖dān táng

分子结构比较简单的糖。1919年汤尔和译《诊断学》下卷:“本来作为食物,所摄取之复糖及多糖类,由唾液、胰液及肠液分解为单糖之后,始被吸收。”

单糖monosaccharide

不能水解的最简单糖类。是含多羟基的醛类或多羟基的酮类化合物。按功能基分为醛糖和酮糖;按碳原子数目分为丙糖、丁糖、戊糖、己糖和庚糖等;按构型分为D型糖和L型糖。如D-甘油醛为丙醛糖,D-赤藓糖属丁醛糖,D-核糖和L-阿拉伯糖属戊醛糖,D-葡萄糖属己醛糖,D-果糖属己酮糖,景天庚酮糖是一种D构型的庚酮糖。具旋光性、水溶性和还原性。以游离状态、结合状态或衍生物的形式存在于生物体内。是寡糖和多糖的组成单位。在体内可转变为糖醇、糖酸、糖醛酸、糖胺和单糖的磷酸酯等衍生物。

单糖

单糖dantang

指只含1个多羟基酮或醛单位的、最简单的糖,不能再被水解为更小的糖单位。根据羰基的特点,可将单糖分为醛糖和酮糖两类。又根据其所含碳原子的数目分别叫做丙醛糖、丙酮糖(含3个碳)、戊醛糖(含5个碳)、己醛糖、己酮糖(含6个碳)等。除二

羟基丙酮(丙酮糖)外,所有单糖分子都含有手征性碳原子,即连接着4个不同的原子或原子团的碳原子。因此单糖都有光学活性异构体。丙醛糖有1个手征性碳原子,因而有2种立体异构体。己醛糖有4个手征性碳原子,因而有24=16种立体异构体。由D-甘油醛(丙醛糖)衍生的丁糖、戊糖、己糖等均为D构型,它们的离羰基最远的手征性碳原子均属于D型,即在投影式中连在这个碳原子上的羟基在右侧。自然界中所发现的单糖大多为D型。其中最重要的是葡萄糖、半乳糖和果糖。含有5个或更多碳原子的单糖在溶液中主要以环式结构存在,其中的羰基与链上一个羟基形成共价键。这个反应很象醇和醛(或酮)生成半缩醛(或半缩酮)的反应,只是产物为分子内半缩醛(或半缩酮)。在反应中,单糖的羰基碳又转变成手征性碳原子,因此可产生α和β两种新异构体。环状结构有六员环(吡喃)和五员环(呋喃)两种形式。习惯用哈武斯(Haworth)透


图528 D-葡萄糖和D-果糖的环式结构

视式表示。在这种表示方法中,吡喃环的6个原子和呋喃环的5个原子部处在同 一平面上,在环的靠近读者一边还描上粗线。单糖易溶于水而不溶于非极性溶剂。多数有甜味。果糖比葡萄糖甜,可用酶使葡萄糖浆转变为二者的混合糖浆,用作糖果的甜味剂。单糖有还原性。可用糖溶液还原某种氧化剂的量来计算糖的浓度。糖尿病人血糖浓度高,并出现尿糖,就可用这种测糖的文法协助诊断。
☚ 糖类   二糖 ☛

单糖

单糖dantang

不能水解为更简单碳水化合物的多羟基醛或多羟基酮。多羟基醛称醛糖,多羟基酮称酮糖。按碳原子数不同可分为丁糖、戊糖、己糖、庚糖等。单糖多以来源命名,如葡萄糖、果糖、木糖等。
单糖具有醛或酮的通性,也具有醇的通性。单糖分子中的羰基可以与HCN发生加成反应,分子中的羟基可以发生酯化反应。单糖具有还原性,无论醛糖或酮糖,均可发生银镜反应 (见“银镜反应”),可与菲林试剂反应形成氧化亚铜红色沉淀 (见“醛与氢氧化铜的反应”)。单糖属于还原糖。醛糖可被溴水或次溴酸钠氧化为糖酸,而酮糖在同样条件下不被氧化,可用于鉴别醛糖与酮糖。
单糖都是有甜味的无色晶体,易溶于水。单糖分子在晶体中以环状半缩醛或环状半缩酮存在,在溶液中存在环状结构与开链结构的互变平衡。如,在D-葡萄糖水溶液中,存在两种环状半缩醛结构,互为旋光异构体,称为异头物,在两种异头物和开链式异构体的互变平衡体系中,各种异构体有一定的比例。无论把 〔α〕 D=+112°的α-D-葡萄糖晶体,还是〔α〕D=+18.7°的β-D-葡萄糖晶体溶解在水中,溶液的旋光度都会不断变化,直至3种异构体达成动态平衡,比旋光度不再变化,〔α〕 D=+52.7° (参见“葡萄糖”)。
每种单糖开链式结构有D-型与L-型两种对映体(参见“构型”) ,天然存在的单糖多为D-型。单糖的开链式结构用投影式表示,如D-葡萄糖,表示为:

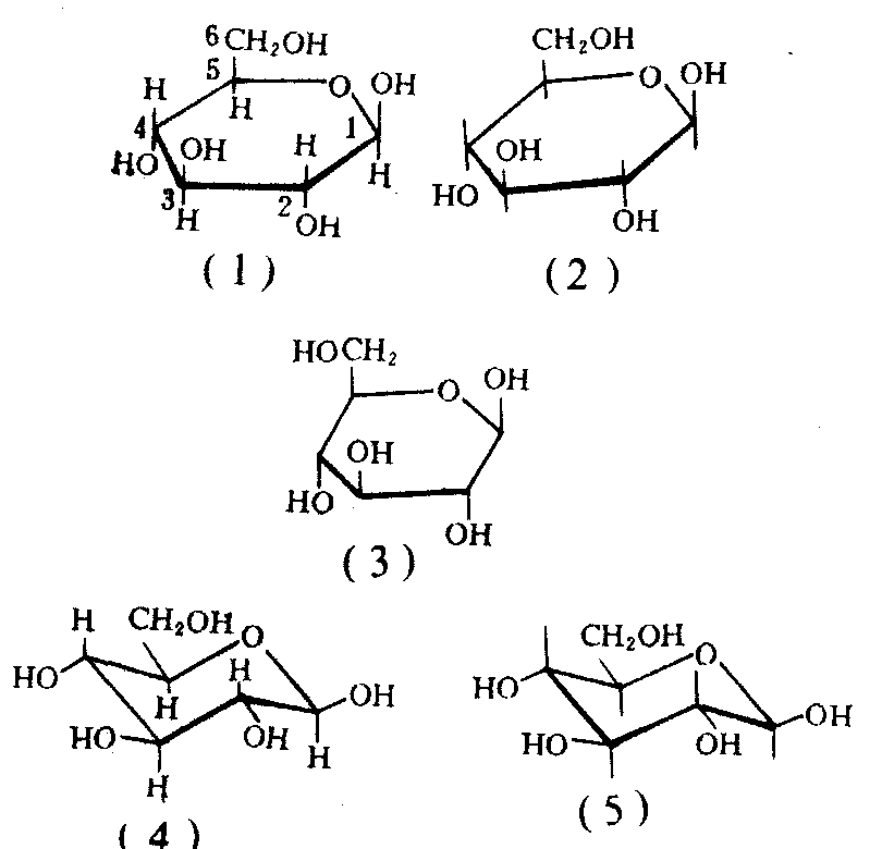
右式为省略式,与左式意义相同,这种省略方法只能适用于碳水化合物。单糖的环状结构常用哈武斯式表示,即用平面六边形表示,以β-D-葡萄糖为例(见图(1)),可省略为(见图(2))或(见图(3)),另一种表示方法为构象式(见图(4)),可省略为(见图(5))。

☚ 碳水化合物   葡萄糖 ☛

单糖monosaccharide

不能再水解的最简单的糖,叫单糖。根据分子中碳原子数目不同,单糖可分为丙糖、丁糖、戊糖和己糖等;按结构中含醛基与酮基的不同,又可将单糖分为醛糖和酮糖。单糖中对人体最重要的有葡萄糖、果糖、核糖和脱氧核糖,对人体生长发育、组织与器官发育、能量供应及新陈代谢有重要意义。葡萄糖为多羟基醛结构、果糖为多羟基酮结构,有甜味,可溶于水,能直接被肠道吸收,是人体的重要能源。

单糖

最简单的糖。仅含一个醛基或酮基的多羟基醇。多羟基醛称为醛糖,多羟基酮称为酮糖。葡萄糖是一种己醛糖,果糖则是一种己酮糖。

单糖monosaccharide

指结构上有3~6个碳原子的糖。食物中常见的单糖为葡萄糖、果糖、半乳糖和甘露糖。是碳水化合物中结构最简单的糖。

单糖

单糖

单糖是寡糖及多糖的结构单位,不能再被水解为更小的分子。单糖按其碳链所含碳原子的多少,可分为丙糖、丁糖、戊糖、己糖等种类。其含醛基者为醛糖,含酮基者为酮糖。因此,单糖都具有与醛或酮类似的一些性质,如还原性、成脎反应等。
糖的直链结构及同分异构体 单糖分子中的碳原子都是连接成直链的。最简单的醛糖是甘油醛,而酮糖则是二羟丙酮:
甘油醛是一个含有三个碳原子的醛糖,有一个不对称的碳原子,因此有左旋及右旋两种旋光异构体。
己醛糖分子内有四个不对称碳原子,因此有24=16个旋光异构体。已经用化学方法确定了己醛糖的化学构型。

以丙醛糖作为构型标准,己醛糖16个旋光异构体中,D


型有8个,L型有8个,互为对映体。
上列八个式子都是代表D型的。这八个式子的对映体是L型的。由于葡萄糖在自然界中广泛存在,且是体内生理活动中最重要的单糖,故以它为例,说明各种单糖共有的一些结构和性质。葡萄糖有D及L型两种,用下式表示:


天然的葡萄糖属于D型,其他七个属于D型的己醛糖分子内也必须有一部分和葡萄糖具有同样的构型,这就是说,8个D型己醛糖分子内第五个碳原子上的氢在碳键的右边。
在16个已知的己醛糖中,只有D(+)葡萄糖、D(+)甘露糖、D(+)半乳糖是存在于自然界中,其余的都是人工合成的。
己酮糖分子内含有3个不对称碳原子,所以应有23=8个旋光异构体,但天然存在的只有D(-)果糖。
糖的环状结构及变旋现象 上述直链式的醛糖含有醛基,理应和两分子醇形成缩醛:
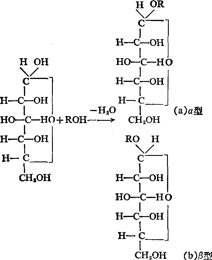
但实验的结果,醛糖只能和一分子醇形成一个稳定的化合物。例如葡萄糖在甲醇溶液内受氯化氢的催化,即生成两种含有一个甲基的所谓α或β甲基葡萄糖苷。产生这现象是因为葡萄糖是一个环状化合物。分子内的醛基本已和分子内的羟基形成一个半缩醛; 故只能和一个分子甲醇失水生成缩醛。这个环状的半缩醛是醛基和第五个碳原子上的羟基形成的六元环化合物。


C1上的羟基和分子中其他羟基不同,是一个半缩醛的羟基,可和甲醇失水形成甲基葡萄糖苷:


按照这个半缩醛式的结构,则C1也变为不对称碳原子,因此又产生两个异构体,他们彼此的关系是非对映异构体。若把C1当作分子的端基,则两个分子的不同,只在于C1的构型成对映体的关系,其他碳原子的构型都是相同的。因而这种异构体又称为端基对映异构体:


(a)和(b)两式中碳原子2,3,4,及5的构型完全相同,只有C1的不同,在(a)式中C1上的羟基和C2上的羟基同在环的一面; (b)式中C1上的羟基和C2上的羟基则分别在环的两面;(a)式叫做α型,(b)式叫做β型。
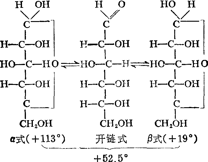
直到达一个定值为止。例如新制的葡萄糖水溶液的旋光度是+113°,这个溶液经放置后,旋光度逐渐下降,直至变为+52.5° 时,即不再变。这种旋光度改变的现象叫做变旋现象。不但葡萄糖如此,很多的糖都发生这个现象。
变旋现象是因为αD(+)葡萄糖和βD(+)葡萄糖具有不同的比旋光度,α葡萄糖的比旋光度为 +113°,β葡萄糖的为 +19°,二者在溶液中逐渐变为一个平衡体系的混合物,这个混合物的旋光度是+52.5°。
普通的葡萄糖是由三种互变异构体形成的平衡体系。


进行反应时可按照开链式发生反应,也可按照环式发生反应。按环式发生反应时,生成两种构型不同的产物,按照开链式发生反应时,则只有一种产物。
普通的D(+)葡萄糖遇到醛的试剂时,其中少量醛式的糖即发生醛的反应,将平衡体系扰乱,直到所有环式的都变为醛式的糖为止。
α及β葡萄糖通常在溶液中形成一个平衡体系时,约有36%的α和64%的β异构体。
在描绘糖的分子结构式时,除了上面的直链式外,还有用下列的透视式表示,以便更清楚地看出各个氢及羟基的空间关系。
天然糖很少含有五元环的体系,只有个别糖的衍生物及某几个多糖中的单糖残基是五元环。为了区别这两种体系,把具有六元环半缩醛式结构的糖称为吡喃糖; 具有五元环半缩醛式结构的糖称为呋喃糖,因为它们含有吡喃或呋喃环结构:
因此,葡萄糖的更科学的名字应该称为αD(+)或βD(+)吡喃葡萄糖。
其他葡萄糖也有变旋现象,果糖也不例外,其α和β型都属吡喃式,但当它形成衍生物后,则变为呋喃式,因此,果糖可能有五种构型,即酮式、α及β呋喃式,α及β吡喃式。
糖的一些重要性质 凡含有自由羰基的单糖均能与简单的醇形成缩醛或缩酮。除此以外,糖分子中羰基及醇基还可进行其他反应。
磷酸酯的生成 单糖的磷酸酯可借下列反应而生成。


糖的磷酸酯在生物化学中占有独特的地位。
糠醛的生成 浓无机酸能使单糖脱水生成糠醛或其衍生物。


糠醛及其衍生物可与各种酚类化合物缩合成特异的有色物质; 这是糖的各种颜色反应的实质。
糖的氧化 凡具有自由羰基或潜伏自由羰基的糖,均有还原性,其中以单糖的还原性最强,能将氧化剂还原,
而自身被氧化。例如,临床上常用以测定体液中糖含量
的碱性硫酸铜溶液中,铜被还原为亚铜。
单糖可被氧化为糖醛酸及糖二酸。在体内葡萄糖被氧化成的葡萄糖醛酸是合成蛋白多糖的一种重要原料,也是体内用以解毒的物质。
单糖的还原 用汞剂可以将单糖还原为相当的醇。在还原作用中,葡萄糖变成山梨醇,半乳糖变为卫矛醇,甘露糖变成甘露醇,而一个酮糖的果糖则可变成两个醇,即山梨醇及甘露醇。
脎的生成 凡具有自由羰基或潜伏自由羰基的糖,与过量的苯肼共热时,均能生成脎。各种脎均为黄色晶体化合物,但其结晶形状及熔点各有不同,因此成脎反应常用以鉴别各种不同糖的一种手段; 临床上也采用来区别乳母尿中的乳糖与葡萄糖。
☚ 糖类   生物体内的单糖及衍生单糖 ☛

单糖

monose


单糖

monosaccharide

随便看

 

离鸟网收录3541549条中英文词条,其功能与新华字典、现代汉语词典、牛津高阶英汉词典等各类中英文词典类似,基本涵盖了全部常用中英文字词句的读音、释义及用法,是语言学习和写作的有利工具。

 

Copyright © 2004-2024 vtrois.com All Rights Reserved
更新时间:2026/4/20 13:39:17