网站首页  词典首页


请输入您要查询的字词:

 

字词 单指数模式
类别 中英文字词句释义及详细解析
释义

单指数模式

亦称 “对角线模式”。由美国威廉·夏普在马克维兹理论基础上发展出的一套分析投资组合的简化模式。该模式假设所有证券彼此不相关,任一证券的收益率可由单一的外界因素和其随机因素来决定。如下式所示:

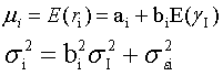
式中,aj、bj为j证券收益率的回归参数;γIt为某一市场指数第t期的收益率; tjt为j证券在第t期的收益率;εjt为j证券的随机误差项。个别证券的期望收益率和风险可表示为:

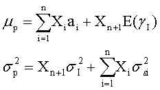
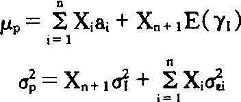
式中,b2iσ2I为系统风险,σ2εi为非系统风险。在多种证券组合的情况下,投资组合收益率期望值μp和风险水平σ2p的函数关系式可表示如下:

式中,Xi表示第i种证券组合比例; Xn+1表示市场指数的投资比例 (n种证券bi值的加权平均)。利用上面的函数关系式可求出有效投资组合,并据此确定投资组合的效率边界。由于单指数模式所需资料少,求解较为容易,因此应用较为广泛。
单指数模式

单指数模式single index model

亦称“对角线模式”。由美国威廉·夏普在马克维兹理论基础上发展出的一套分析投资组合的简化模式。该模式假设所有证券彼此不相关,任一证券的收益率可由单一的外界因素和其随机因素来决定。如下式所示:

γjt=aj+bjγItjt

式中,aj、bj为j证券收益率的回归参数;γIt为某一市场指数第t期的收益率;tjt为j证券在第t期的收益率;εjt为j证券的随机误差项。个别证券的期望收益率和风险可表示为:

μi=E(rj)=ai+biE(γI)

σ2i=b2iσ2i2εi2


式中,b2iσ2I为系统风险,σ2εi2为非系统风险。
在多种证券组合的情况下,投资组合收益率期望值μp和风险水平σ2p的函数关系式可表示如下:


式中,Xi表示第i种证券组合比例;Xn+1表示市场指数的投资比例(n种证券bi值的加权平均)。利用上面的函数关系式可求出有效投资组合,并据此确定投资组合的效率边界。由于单指数模式所需资料少,求解较为容易,因此应用较为广泛。
☚ 升降指数理论   对角线模式 ☛
00009708
随便看

 

离鸟网收录3541549条中英文词条,其功能与新华字典、现代汉语词典、牛津高阶英汉词典等各类中英文词典类似,基本涵盖了全部常用中英文字词句的读音、释义及用法,是语言学习和写作的有利工具。

 

Copyright © 2004-2024 vtrois.com All Rights Reserved
更新时间:2026/4/19 14:28:24