半数效量面积法
半数效量(或半数致死量)的面积法是一种计算半数效量的有效方法。 最先由G.Kärber提出,故称Kärber法。后经D. J. Finney等修正。
本法要求:
❶各剂量组呈等比级数或等差级数均可;
❷各剂量组动物数应相等,每组5~20只为宜;
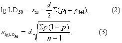
❸反应情况要基本符合正态分布,使最小剂量的反应率为0%(或近于0%),最大剂量的反应率为100%(或近于100%)。方法 以半数致死量为例。按式(1)计算lgLD50

式中i为组号,(x
i+x
i+1)为相邻两组剂量对数之和,(p
i+1-p
i)为相应的两组死亡率之差。
当各剂量组呈等比级数时,式(1)可简化为式(2);求半数致死量的标准误s
lgLD50可用式(3)。

式中x
m为最高剂量的对数,d为相邻两剂量对数的差值,p为各剂量组死亡率,n为每组受试动物数。求出lgLD
50及slgLD
50后,尚可由正态近似原理,按式(4)求总体LD
50的95%可信区间的对数值,
(lgLD
50-1.96slgLD
50,lgLD
50+1.96slgLD
50),(4)取反对数即得真数值。
例 用某农药对雌性大白鼠作灌胃的急性毒性试验,资料见下表第(1)~(5)栏,求LD
50。
Karber法求LD50计算表
剂 量 mg/kg (1) | 剂量对数 x (2) | 受试动物 数,n (3) | 死亡动物 数,r (4) | 死亡率 p (5) | xi+xi+1 (6) | pi+1-pi (7) | (xi+xi+1)(pi+1-pi) (8)=(6)(7) | pi+pi+1 (9) |
800 932 1086 1265 1473 1716 | 2.9031 2.9694 3.0357 3.1020 3.1683 3.2346 | 10 10 10 10 10 10 | 0 1 2 5 7 9 | 0.0 0.1 0.2 0.5 0.7 0.9 | 5.8725 6.0051 6.1377 6.2703 6.4030 6.5355 | 0.1 0.1 0.3 0.2 0.2 0.1 | 0.58725 0.60051 1.84131 1.25406 1.28060 0.65355 | 0.1 0.3 0.7 1.2 1.6 1.9 |
| 1999 | 3.3009 | 10 | 10 | 1.0 | | | | |
| 3.4 | 6.21728 | 5.8 |
(1)按式(1)计算LD
50。列上述计算表,将表中第(8)栏合计代入式(1),得

或按式(2)计算LD
50。今xm=3.3009,d=x2-x1=0.0663,由上表第(9)栏合计得∑(pi+pi+
1) = 5.8,故

与按式(1)计算结果相等。
(2)求LD
50的95%可信区间。今∑p(1-p)=0.8,n=10,代入式(3)及式(4):

(3.10863-1.96×0.01977,3.10863+1.96×0.01977)=(3.06998,3.14748),取反对数得 (1175,1404)。
故此农药的LD
50为1284.2mg/kg,其95%可信区间为1175~1404mg/kg。