网站首页  词典首页


请输入您要查询的字词:

 

字词 半数效量移动平均法
类别 中英文字词句释义及详细解析
释义
半数效量移动平均法

半数效量移动平均法

半数效量(或半数致死量)的移动平均法是一种计算半数效量的简便方法,由R.Thompson首创。在此基础上C. S. Weil 和 H. J. Horn编制成了便查表,用查表代替计算,甚为方便,但不够精确;E. K. Harris又提出角变换法。本条目将以半数致死量为例来说明。其基本原理是在围绕50%死亡率的移动平均剂量之间,用直线内插法确定半数致死量的对数值,其反对数即半数致死量的估计值。
本法要求:
❶每一剂量组的受试动物数相等,一般只用4~5只。因实验动物数较少,实验设计时应严格选择动物。
❷剂量按等比级数排列,取剂量组数为k+1,k为移动平均的跨度组数,如k=3,剂量组数即为4。
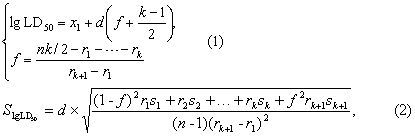
Thompson法 按式(1)、(2)计算lgLD50 (取反对数即LD50)及其标准误slgLD50

式中x1为所用剂量组中的最低剂量对数,d为两相邻剂量对数的差值,n为每组受试动物数,r为每组死亡动物数,s为每组存活动物数,s=n-r,f为r的函数,其变化范围为0≤f≤1。
按正态近似原理,总体LD50的95%可信区间的对数值用式(3)计算,
(lgLD50-1.96slgLD50,lgLD50+1.96slgLD50),(3)取反对数即得真数值。
角变换法 方法步骤:
❶将反应率作平方根反正弦变换(见条目“百分数p的平方根反正弦变换”),目的是使剂量(对数)反应曲线直线化。
❷计算移动平均角度。k为3或5个剂量组。
❸按式(4)作线性内插求LD50。平均角度45°(相当于反应率为50%)所对应的剂量对数即lgLD50,取反对数即LD50

式中y′、y分别为45°上下的移动平均角度,x′、x分别为其相对应的剂量对数。
例 对某化学药物作豚鼠急性毒性试验,结果见表第(1)~(5)栏。试用移动平均法求LD50

移动平均法求LD50计算表


剂 量
mg/kg
(1)
剂量对数
x
(2)
受试动物数
n
(3)
死亡动物数
r
(4)
死亡率
p
(5)
sin-1
(6)
移动平均(k=3)
y
(7)
1002.0000500.05*12.92 
215
464
1000
2.3333
2.6666
3.0000
5
5
5
1
3
4
0.20
0.60
0.80
26.56
50.77
63.43
30.0833
46.9200

· r为0时校正p=0.25/5=0.05
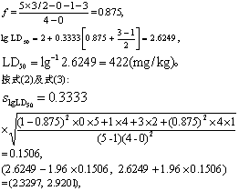
(1)用Thompson法求LD50及其95%可信区间。
今n=5,k=3,d=0.3333。代入式(1),


取反对数得(214,832)。
该毒物的LD50为422mg/kg,其95%可信区间为214~832mg/kg。
(2)用角变换法求LD50
查“百分数p与sin-1对照表”,将表第(5)栏变换为第(6)栏。
取k=3,计算移动平均数y,见表第(7)栏。
y=(12.92+26.56+50.77)/3=30.0833,y′=(26.56+50.77+63.43)/3=46.9200。
由表第(2)栏得相应的x=2.3333,x′=2.6666,代入式(4):


与上法结果相近。
☚ 半数效量累计法   半数效量序贯法 ☛
00013288
随便看

 

离鸟网收录3541549条中英文词条,其功能与新华字典、现代汉语词典、牛津高阶英汉词典等各类中英文词典类似,基本涵盖了全部常用中英文字词句的读音、释义及用法,是语言学习和写作的有利工具。

 

Copyright © 2004-2024 vtrois.com All Rights Reserved
更新时间:2026/4/21 5:48:34