网站首页  词典首页


请输入您要查询的字词:

 

字词 化学因素与恶性肿瘤
类别 中英文字词句释义及详细解析
释义
化学因素与恶性肿瘤

化学因素与恶性肿瘤

约80%的人类肿瘤是由于接触外环境因素所引起,其中绝大多数为化学致癌物。随着工业的发展,化工产品日益增多,目前经流行学调查和动物实验证明有致癌作用的化学物质种类很多,估计约一千种。国际癌症研究所组织进行的化学致癌物评定,到1977年已鉴定368种化学物品,其中26种肯定与人类肿瘤有关,有221种至少对一种实验动物有致癌作用。目前已知,能引起人类癌症的主要化学致癌物见表1。

表1 目前已知能引起人类癌症的化学致癌物

化学致癌物癌的发生部位主要接触的途径发生癌变的
时间(年)*
化学混合物   
煤烟、焦油及矿
皮肤、肺皮肤、吸入9~30
香烟的烟
工业化学产物
吸入 
2-萘胺
联苯胺
4-氨基联苯
金胺的制备

氯甲甲基醚
二氯甲醚
芥子气
赤铁矿的开采
(氡?)
膀胱
膀胱
膀胱
膀胱
造血系统


肺、喉
吸入、皮肤、口服
吸入、皮肤、口服
吸入、皮肤、口服
吸入、皮肤、口服
吸入、皮肤
吸入
吸入
吸入
吸入
13~30(16)
13~30(16)
13~30
13~30
6~14
5+
5+
10~25
铬(铬酸盐)的
生产
肺、鼻腔吸入5~47(15)
镉(氧化镉)的
应用
前列腺、肺?吸入、口服
镍化合物
石棉
砷化合物
异丙油
氯乙烯
药物
鼻窦、肺
肺、胸膜、消化道
皮肤、肺、肝?
鼻腔、喉
肝、肺?脑?
吸入
吸入、口服
皮肤、吸入、口服
吸入
吸入、皮肤
3~30(22)
4~50(18)
10+
10+
12~30
氯霉素
环磷酰胺
溶肉瘤素
2-萘胺芥
己烯雌酚
某些激素类避
孕药
造血系统
膀胱
造血系统
膀胱
子宫、阴道
口服、注射
口服、注射
口服
口服
口服
口服
 
睾丸甾酮
非那西汀

肾盂
口服
口服
 
苯妥英钠
自然界的产物
淋巴网织组织口服、注射(20)
黄曲霉毒素等
一些真菌毒
口服、吸入? 
咀嚼槟榔口腔粘膜口服 
未经确定的人类化学致癌物示例:
亚硝基化合物
苏铁素
黄樟素
吡咯烷生物碱
肝、食管、胃、肾等


口服、吸入
口服
口服
口服

*括弧内数字为大约平均时间
化学致癌作用的潜伏期很长,要有足够例数和较长时间方能确定。有的化学致癌物先在动物实验中得到验证,例如黄曲霉毒素、4-氨基联苯、二氯甲醚、乙烯雌酚、溶肉瘤素、芥子气、氯乙烯等,但更多的是先在临床上发现并经流行学验证,再为动物实验所证实。在动物的慢性毒性实验中常可发现化学致癌物,如合成的2-乙酰胺基芴原用作杀虫药,后证实有致癌作用而被禁用;二甲基亚硝胺为化工用途较广的中间试剂及溶剂,在证明对动物有致癌性后就控制使用,以避免污染环境及危害人群。
化学致癌物的分类

表2 化学致癌物的主要类别

类 别示 例
多环芳香烃
芳香胺
氨基偶氮染料
苯并芘、二苯蒽
2-萘胺、联苯胺、金胺
正氨基偶氮甲苯、二甲基氨基偶氮苯(奶
油黄)
亚硝胺及亚硝酰胺
烷化剂
有机卤化物
金属
自然界产物
激素
无活性化学物质
二甲基亚硝胺、亚硝基脲
芥子气、2-萘胺芥、环磷酰胺、二氯甲醚
氯甲甲基醚、多氯联苯、氯乙烯
铬、镍、镉
霉菌毒素、咀嚼烟草或槟榔、蕨菜、苏铁素
己烯雌酚、避孕药
石棉、塑料膜

(1)多环芳香烃类: 由多个苯环缩合而成的碳氢化合物及其衍生物,最常提及的烃类致癌物(见图1)以二苯蒽为基本结构。这类化合物主要由含碳物质的不完全燃烧产生,存在于煤烟、香烟的烟雾、熏烤食品、汽车排出的废气中,在工业污染的城市环境中含量较高。这类化合物难溶于水,溶解于脂肪或有机溶剂。苯并芘为其代表,最早从煤焦油中分离鉴定,在紫外线下产生特殊荧光可用来进行测定。多环芳香烃类致癌物要经过代谢活化后才有致癌性,一般在接触的局部引起癌变。

图1 多环芳香烃类致癌物


(2)芳香胺类: 广泛应用于制备染料、药物、杀虫剂、塑料与橡胶等,能引起尿路癌症,特别是染料与橡胶工业的职业性膀胱癌。2-萘胺与联苯胺(图2)能引起人的内脏腺癌。据推算每支香烟中平均含0.22μg2-萘胺和同量的I-异构体。马路沥青中约含2ppm2-萘胺。2-萘胺芥为2-萘胺衍生物,曾用于治疗真性红细胞增多症和何杰金病,已证明能致膀胱癌。这类化合物要经过体内的代谢活化才引起脏器癌变,因此在不同动物中引起的反应可有些差别(表3)。

图2 芳香胺类致癌物


表3 人与某些动物对三种芳香胺致癌物的反应

 2-萘胺联苯胺4-氨基联苯



地鼠
小鼠
膀胱肿瘤
膀胱肿瘤
膀胱肿瘤
膀胱肿瘤
肝细胞瘤
膀胱肿瘤
?膀胱肿瘤
未 知

肝细胞瘤
膀胱肿瘤
膀胱肿瘤
未 知
未 知
肝细胞瘤
膀胱肿瘤
乳腺肿瘤
大鼠无肿瘤肝细胞瘤
肠肿瘤
耳道肿瘤
 

(3)氨基偶氮染料: 用作纺织品、食品、饮料的染料,其中如猩红的主要成分正氨基偶氮甲苯(O-aminoazoto-luene OAAT)能引起实验动物的肝癌;曾用作人工奶油染料的奶油黄(4-二甲基氨基偶氮苯)也能诱发大鼠的肝癌。这类致癌物的诱发时间长,需较大剂量,易受营养或激素等因素的影响。如奶油黄在大鼠饲料中缺乏蛋白质和核黄素时才引起肝癌,雄性较雌性敏感,而雌小鼠对OAAT较易发生肝肿瘤。偶氮染料的致癌性与其甲基在分子中的位置有关,在苯环的2及2′位上有甲基时以及氨基上有一个甲基取代氢时就有致癌性,苯环上有一个甲氧基则加强致癌作用,而羟基可失去致癌性(图3)。

图3 氨基偶氮染料致癌物


(4) 亚硝胺及亚硝酰胺: 亚硝基化合物能诱发许多动物发生不同部位器官的各种肿瘤。其中亚硝胺类一般的R′为烷基,R″可为烷基或芳基,如二甲基亚硝胺,二乙基亚硝胺,甲基苄基亚硝胺,甲基丁基亚硝胺以及杂环的化合物,如吗啉亚硝胺与哌啶亚硝胺(图4)。亚硝酰胺类的R′为烷基,而R″可为脂类(如—CO·O·C2H5)、酰类(如—CONH2)等,其中研究较多的为甲基及乙基亚硝基脲,甲基亚硝基乌拉坦和甲基亚硝基胍(图5)。亚硝基化合物易被光解,亚硝酰胺较易分解为相应的二偶氮链烷,如二偶氮甲烷为具有强毒性及刺激性的烷化剂。亚硝基化合物的代谢产物能迅速与细胞大分子结合引起癌变,如给与一次大剂量亚硝基脲即可于9~12个月后诱发大鼠肾肿瘤。有些化合物能通过胎盘影响胚胎,使子代发生肿瘤。不同结构的亚硝胺有特异的器官亲和性,例如对称烷基的亚硝胺多引起肝肿瘤,不对称者诱发食管癌和其他肿瘤。亚硝酰胺引起大鼠的小肠、肝、肾、脑肿瘤以及胃腺癌。亚硝基类致癌物存在于环境中,但在具备二级胺与硝酸盐或亚硝酸盐的情况下,这些前体物于酸性条件中能在体内合成亚硝胺,尤其在胃内可成为产生亚硝胺的重要来源。细菌能还原硝酸盐为亚硝酸盐,使口腔内的唾液含有亚硝酸盐,并促进亚硝胺的合成。中国医学科学院肿瘤研究所化学病因室的实验证明(1978): 林县食管癌高发区常见的真菌如串珠镰刀菌、白地霉等,不但类似某些细菌能还原硝酸盐为亚硝酸盐,而且能增加霉变食物内胺类产量,并促进亚硝胺的合成。霉变的玉米面中还发现有二甲基亚硝胺、二乙基亚硝胺、甲基苄基亚硝胺及一种新亚硝胺:N-3-甲基丁基-N-1-甲基丙酮基亚硝胺(化学式如下),说明霉变食物中除有霉菌毒素外,还能产生化学致癌物,这为肿瘤病因的研究提供了新的线索。

图4 亚硝胺致癌物


图5 亚硝酰胺致癌物


(5) 烷化剂: 这类化合物反应强,与细胞中的蛋白质、核酸等成分共价结合,如芥子气、二氯甲醚,能引起肺及呼吸道癌。有些烷化剂原作为抗癌的化疗药物,但病人于两年后可能发生肿瘤;如环磷酰胺、噻替哌、马利兰等可引起肺癌、乳腺癌;溶肉瘤素等可致急性髓性白血病;2-萘胺芥可引起膀胱癌。烷化剂致癌物还包括乙烯亚胺类、磺酸酯类、内脂类、卤醚类中的一些化合物以及某些硫酸酯和亚硫酸酯。
(6)有机卤化物: 这类化合物为数繁多,其中有的为致癌物。例如接触氯甲甲基醚者其肺癌发病率8倍于常人; 氯乙烯塑料单体可引起肝血管肉瘤。能诱发动物肿瘤的,如多氯联苯可诱发肝细胞瘤,氯仿可引起甲状腺及肝肿瘤,四氯化碳引起肝肿瘤等。有些致肿瘤的杀虫药、抗癌药亦属有机卤化物。
(7) 金属: 有些工业的金属生产或应用过程中发现有职业性癌。如生产铬酸盐与电镀铬工人,肺癌与鼻腔癌发病率均高,患者组织中铬的含量偏高。镍矿工人和炼镍工人的肺癌和鼻窦癌发病率高,是由于镍本身还是镍矿中含砷或放射性杂质,尚待研究。羰基镍的毒性很高,其气体能诱发大鼠肺及呼吸道癌,硫化镍局部注射可引起大鼠纤维肉瘤。应用氧化镉的工人较多患前列腺癌,其对肺癌的发病影响也受到重视。在动物实验中,铍能引起猴的骨肉瘤和肺癌,铅引起肾癌和白血病。
许多化学致癌物是化学工业的产物,在制备过程中吸入或接触,可引起职业性癌。其他还有医源性和自然界的产物、食品添加剂、农药以及头发染料如硝基苯二胺化妆品等,亦可为致癌物的来源。在与环境致癌物的接触中,较普遍而又重要的是人们的生活习惯;除饮食习惯外,尚有吸烟、咀嚼烟草或槟榔和石灰的混合物,以及嗜酒等。近年来肺癌的发病率不断上升,而吸烟者较不吸烟者约高7~11倍,且每天吸烟数量与肺癌发病率成正比,烟雾和烟油中含致癌物及促癌物(表4)。除肺癌外,吸烟还能增加上呼吸道和消化道癌、膀胱癌与胰腺癌的发生。化学致癌物也可按其本身是否有直接致癌作用,或其代谢产物是最终致癌物而区分为直接作用的化学致癌物与经代谢后起作用的化学致癌物。前者不必经过机体的转化,这种化合物较少,因为活性大,易被分解。如在体内的半衰期长到能够致癌,大多属于化工物品和药物,其中主要为烷化剂,如芥子气、氮芥、环磷酰胺、溶肉瘤素和铬酸盐、羰基镍、亚砷酸钠、石棉、亚硝基脲、亚硝基胍等。

表4 香烟的烟中和烟油中的主要致癌物

多环芳香烃类:苯并芘,二苯并蒽,二苯并氮杂芴,二并荧
蒽,二苯并芘,苯并荧蒽,茚并芘,二苯并吖
2-萘胺
亚硝胺:二甲基亚硝胺,二乙基亚硝胺,甲基乙基亚硝胺,
去甲烟碱亚硝胺,吡咯烷亚硝胺
促癌物:儿茶酚

经代谢后的化学致癌物则为数较多,包括多环芳香烃、芳香胺、氨基偶氮染料、亚硝胺以及多数有机卤化物和真菌毒素等。进入机体或与其接触时的致癌物称原型致癌物,经过初步代谢的为近似型致癌物,然后成为亲电子的最终致癌物,与细胞亲核子的大分子共价结合(图6)。这种代谢过程是通过酶的作用,这也是造成不同动物对致癌物反应迥异的原因。多环烃化合物主要靠肝脏微粒体的混合功能氧化酶,称芳香烃羟化酶以及环氧化物水解酶。以苯并芘为例,代谢后产生三个有活性的最终致癌物,即三个二氢羟化合物 (9,10-,7,8-4,5-dihydrodio-ls),其中以7,8-dihydrodiol-9-10-epoxide B(a)P为最强。再如原型致癌物苏铁素,其化学式为:经过正常动物或人的肠内细菌的作用,产生近似致癌物称甲基氧化偶氮甲醇,即H3C-N=N-CH2OH,能引起动物的肝肿瘤。在无菌动物,虽喂以苏铁素,但无甲基氧化偶氮甲醇的形成,故不诱发肝癌。肠内细菌是通过释放葡萄糖醛酸苷酶而起作用的。

图6 化学致癌物的代谢活化作用


化学致癌物的生物学特性 化学致癌物的主要生物学特性为:
❶致癌作用与接触致癌物的剂量成正比,剂量越大肿瘤发生率越高,潜伏期也越短。流行学资料表明,接触化学致癌物虽在工业防护方面订有最低允许的接触剂量,但对于人来说并没有安全的阈剂量。
❷从接触致癌物到发生肿瘤的潜伏期很长,在人类大约为5~30年,其他动物大抵与寿命成一定比例。有的致癌物通过胎盘影响子代,待子代成长时才发生肿瘤。
❸正常组织经致癌物作用后转化为恶性生长是一个多阶段的过程。
❹某些致癌物起始动作用,称始动因子,但明显地受各种促进因子(亦称促癌因子或辅助因子)的影响。
❺活跃增生的组织细胞易发生癌变。
❻同一种化学致癌物诱发的肿瘤常具有不同的抗原性、不同的表现如生长率、分化程度、细胞表面性质、酶谱等。
化学致癌物的代谢 直接作用的化学致癌物不需在体内经过代谢即能诱发肿瘤,但一经代谢后,即失去原有致癌作用而被灭活;例如硫芥、氮芥、环氧化物、烷基磺酸,亚硝酰胺等化学致癌物。利用肝内质网药物代谢酶的诱导,可使这类致癌物受到破坏,降低其致癌性。大多数化学致癌物属于间接作用的化学致癌物,它们必须在体内通过肝内质网酶系的作用生成最终致癌物,才有致癌作用。兹分述如下:

图7 2-AAF在肝内的代谢。PAPS=3′-磷酸腺苷-5′-磷酸化硫酸(活泼的硫酸盐)


(1) 芳香胺: 芳香胺如氨基芴、偶氮染料、苯胺、氨基联苯胺等的代谢激活,是通过羟化酶、去甲基酶、偶氮还原酶等而实现的,其中以羟化酶较为重要。大多数致癌性芳香胺及酰胺都是通过N-羟基化而被激活,生成最终致癌物。2-乙酰氨基芴(2AAF)的代谢途径已经弄清,如图7。AAF-N-硫酸酯的形成是通过肝内硫酸转移酶的作用。N-OH-AAF除了生成硫酸酯外,还可通过其他代谢途径生成亲电子反应物而与信息大分子共价结合,如图8。这些酶促反应对于N-OH-AAF在肝以外的其他靶组织形成最终致癌物也很重要; 特别由于乙酰基转移酶广泛存在于组织,以及N-乙酰氧化氨基芴的强致癌性而显得更重要。

图8 N-OH-AAF的代谢途径。UDPGA二尿苷二磷酸葡萄糖酸


其他芳香胺、酰胺及硝基化合物的致癌性,取决于在体内形成N-羟基衍生物,其中大多数的最终致癌物尚未弄清。激活反应可能因苯环上的取代基、组织与种属不同而异。如N-甲基-4-氨基偶氮苯的激活,类似2AAF,是通过N-羟基化和N-羟基衍生物的硫酸酯化,它与核酸的主要加合物包括鸟嘌呤残基上C-8被N-甲基-4-氨基偶氮苯的N-原子所取代。但是,2-AAF的氧化由细胞色素P-450系统催化,而上述染料的N-氧化由黄素蛋白催化,后者不需要细胞色素P-450系统。有数据说明,可能有不同的肝硫酸转移酶作用于这两个底物。业已证明一些致膀胱癌的芳香胺经肝内质网酶系进行羟基化,再由N-羟基胺(如N-羟基-2-萘胺和N-羟基-4-氨基联苯)在肝内质网酶系作用下与β葡萄糖醛酸生成N-葡萄糖醛苷;如N-羟基-4-氨基联苯的N-葡萄糖醛苷,是4-氨基联苯在狗尿中的代谢产物,狗尿和人尿的酸性足以使N-葡萄糖苷水解,并使生成之羟基胺质子化,从而与膀胱上皮大分子物质结合,最终形成肿瘤(图9)。

图9 致膀胱癌芳香胺最终致癌物的形成


(2)多环芳香烃: 这类致癌物主要包括3-甲基胆蒽、苯并芘、苯并蒽、二苯并蒽等。它们可能通过形成环氧化物,进而形成酚类及二氢二醇类代谢中间物而致癌。实验证明,多环芳香烃的K-区环氧化物对于小鼠成纤维细胞在细胞培养中的转化,较其母体更为活跃;同时,已证明在苯并蒽的湾区(Bay区)即在C-10与C-11之间的阻碍区(图10)形成的二羟基-环氧化物中间体,是这些致癌物的最终致癌物。这些中间体的致突变与致癌作用都较其母体的作用强。如图10所示,苯并芘首先通过内质网酶系作用,生成7,8-环氧化物,再通过环氧化物水化酶形成二羟基化合物,其后形成具有亲电子性、致癌性与致突变性的最终产物。7α,8α-二羟基-9α,10α-环氧基-7,8,9,10-四氢苯并芘,这种二羟基环氧化物可与DNA等大分子物质共价结合。同样,苯并蒽形成3,4-二羟基-1,2-环氧化物(图11)的致突变性和对小鼠皮肤的致癌性也最大(苯并蒽的Bay区在C-1与C-12之间);而其他位置的二羟基所形成的环氧化物如8,9-二羟基-10,11-环氧化物,10,11-二羟基-7,8-环氧化物则较差。另外,多环芳香烃可被芳香烃羟化酶(AHH)激活,生成活泼的最终致癌物。AHH存在于各种组织,并为许多物质所诱导,小鼠的诱导活性则受基因的控制。人类AHH的诱导性有明显的个体差异。近来发现,AHH高诱导性与吸烟者发生肺癌之间有一定联系,但对其他肿瘤患者,则无此种联系。

图10 苯并芘在体内的转变


图11 3,4-二羟基-1,2-环氧化物


(3)亚硝胺类化合物: 主要是通过肝内质网的混合功能加氧酶去烷基化,所生成之单烷基衍生物自行分解成N2及正碳离子,然后与细胞的核酸或蛋白质共价结合。亚硝基酰胺及亚硝基亚胺则不需酶促激活,因为它们与H2O和其他细胞的亲核物质反应,生成相同的烷化中间物(图12)。其他不同亚硝胺也可能通过其他代谢途径,不一定有甲醛的生成或N2的释出。有人根据尿中出现亚硝胺代谢产物Ⅰ及Ⅱ (图13),推测亚硝胺的真正致癌物可能是具有一个活泼的酮基化合物,能与细胞中核酸碱基的氨基或蛋白质的巯基形成牢固的键桥,从而改变细胞的遗传信息,导致癌变。

图12 二甲基亚硝胺及N-甲基亚硝基脲在体内的转变


图13 亚硝胺的可能代谢途径


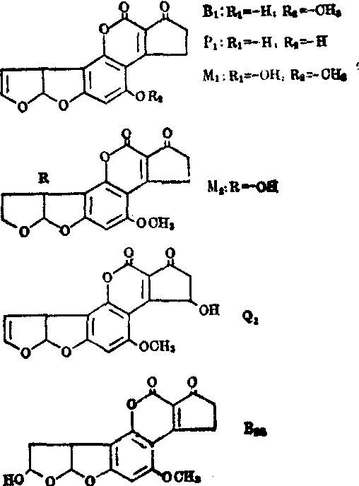
(4)黄曲霉毒素: 黄曲霉素B1的致癌能力较其他黄曲霉毒素强,但其本身并无致癌性。B1在肝内通过内质网羟化酶作用生成的2,3-环氧化物,很可能是最终致癌物,与细胞核酸或蛋白质结合(图14)。人工合成黄曲霉素B1-2,3-环氧化物的类似物,黄曲霉素2,3-二氯化物,是强亲电子剂,对小鼠皮肤及大鼠皮下组织是强致癌物,也是一个强致突变剂。B1在体内代谢还可生成黄曲霉毒素M1及M2,已先后从绵羊的尿和牛奶中分离出来。M1对鳟鱼有致癌作用,对大鼠的毒性与B1相似。此外,还发现有黄曲霉毒素P1和Q1。P1未发现有致癌作用。M2和B2α因无2,3-双键,亦无致癌作用(图15)。

图14 黄曲霉毒素B1在体内的代谢激活


化学致癌物具有种属和器官特异性,可能与致癌物的代谢有关。例如,AAF不能使豚鼠发生肝癌,可能由于豚鼠缺乏转变AAF为N-OH-AAF(强致癌性)的酶,但如喂以N-OH-AAF,则可诱发肝癌。在体内,N-OH-AAF可被硫酸转移酶转化为硫酸酯(最终致癌物);同样,雄鼠对N-OH-AAF的硫酸转移酶活性较雌鼠高,当可解释致癌物致癌的性别差异,并说明激素对参与激活致癌物形成最终致癌物的可能影响与某些致癌物的器官特异性。

图15 各种黄曲霉毒素的结构式


化学致癌的原理 化学致癌物经肝内质网酶系激活生成的亲电子基团如正碳离子 (-H3)、正氮离子(—=),可与细胞的蛋白质、核酸(DNA、RNA)分子的亲核基团结合。偶氮染料类致癌物代谢生成之最终致癌物与细胞蛋白质分子中的甲硫氨酸结合,生成甲硫化物 (图16)。二甲基亚硝胺可能使蛋白质分子中的组氨酸甲基化。其他如N-甲基-N-亚硝基胍,则可在组氨酸、亮氨酸或半胱氨酸部分加上一个-C(=NH)-NHNO2基团。又如氨基芴的代谢物,N-羟基-2-乙酰氨基芴与蛋白质、核酸形成的加合物,都已从肝中分离出来。与核酸形成的加合物主要是通过与DNA(RNA)分子的鸟嘌呤C-8结合;与蛋白质形成的加合物主要是通过与蛋氨酸残基结合(图17)。近来证明,多数致癌物与核酸中鸟嘌呤的N-7结合,但与致癌的关系不大; 其它位置如鸟嘌呤O-6与致癌物的结合,或许更为重要;如亚硝基酰胺及甲磺酸乙酯在DNA鸟嘌呤O-6上的烷化,与其对噬菌体的致突变作用相一致,而甲磺酸甲酯不能与DNA鸟嘌呤O-6结合,也不是致突变物。化学致癌物通过上述方式与细胞DNA结合后使DNA结构发生改变或使基因的调控受到影响,就会引起蛋白质,特别是酶,发生质和量的改变,从而引起细胞形态和功能的异常,最后导致癌变。致癌物与RNA结合,可能通过逆转录酶生成异常的DNA。致癌物与蛋白质结合,可能直接影响蛋白质(如核中组蛋白或非组蛋白等)对基因的调控,如与DNA聚合酶结合,则可能生成结构异常的DNA,这些都可间接引起细胞突变。应当指出,上述致癌物与核酸形成的加合物的致癌作用并非最为重要;目前已检定过的烃类-核酸衍生物,也不一定是最初引起癌变的关键加合物。因为多环烃类既是诱癌的激发物,又是促进物,对其代谢产物可能具有的促癌作用,须加注意。鉴于许多酚类具有促癌作用,因此某些酚类代谢产物也可能具有促癌作用。细胞大分子物质与致癌物结合后如何影响其生物活性,可能在2-AAF残基与DNA鸟嘌呤C-8形成的加合物中,由于前者具有一个平面的芳香环,其大小近似一碱基对,当这些分子插入DNA时,DNA的双螺旋就部分解旋,产生扭曲,致使DNA功能改变。另有证据表明这种取代会使转录永久终止,并干扰tRNA对密码的认识。

图16 偶氮染料与蛋氨酸的反应


图17 AAF与核酸和蛋白质生成的加合物


化学致癌原理的假说 癌细胞的特征之一是具有遗传特性,因而癌变发生在基因水平上。早已有人认为,癌细胞来源于体细胞的突变,近年来由于对化学致癌物在体内的代谢转变以及与细胞内核酸、蛋白质结合的研究,这个假说似已愈受支持;但是也有许多事实不能解释,因而另有提出基因调控异常假说以及细胞膜与癌变假说。现将这些假说的根据简单列于下表。

有关癌变原理的假说

 主 要 依 据
基因改变
(体细胞突变)
假说
(1)化学致癌物或其代谢物与靶细胞
DNA碱基结合,直接引起DNA结构
改变;或与RNA,蛋白质结合,间接
引起DNA结构改变
(2)化学致癌物或其代谢物影响DNA修
复功能,产生异常DNA
(3)大多数化学致癌物的致癌性与致突变
性有相关关系
(4)肿瘤DNA病毒、RNA病毒直接或
间接影响宿主细胞DNA的结构与
功能
基因调控改变
假说
(1)癌变过程是反分化过程:
❶癌细胞出
现胚胎性抗原,如甲胎蛋白,癌胚抗原
等。
❷癌细胞出现胚胎型同功酶。如
肝癌出现丙酮酸激酶Ⅱ、醛缩酶A、
己糖激酶Ⅰ和Ⅱ等;同时肝型丙酮酸
激酶Ⅰ,醛缩酶B、葡萄糖激酶等活性
降低。
❸癌细胞增殖酶活性增高,同
时组织特异酶活性降低,其相互变化
在癌变进程与正常发育过程相反
(2)癌细胞出现异位性蛋白。如肺癌出现
促肾上腺皮质激素,肝癌出现胰岛素
类蛋白等
(3)临床及实验动物肿瘤都有自然消退或
向正常分化现象
(4)核移植实验:证明将蛙肾癌细胞核移
入正常去核受精蛙卵,可产生正常蝌
蚪,说明癌细胞仍保持可表现的正常
信息

(续表)

 主 要 依 据
基因-膜-癌变
假说
癌细胞膜异常:
(1)膜蛋白或受体发生改变。如蛋白酶、
核苷酸、环化酶、糖基转移酶等活性增
高或降低;糖蛋白、糖脂的增多或减少
(2)癌特异性抗原的出现,正常成分的丢
失,如Lets蛋白的消失
(3)与植物凝集素的反应增高
(4)与膜相连的微丝、微管系统发生改变
(5)细胞膜的流动性增高
(6)运输的速度增高
(7)细胞运动的接触抑制丢失
(8)细胞分裂的接触抑制丢失
结果引起细胞增殖与分化间的平衡、
细胞通透性、细胞间的识别、对外界刺
激的效应、免疫反应、细胞生长行为等
发生改变,这些改变可能与细胞癌变
有关,并受基因调控
细胞膜、基因调控与癌变三者之间的
关系可能是:
❶致癌物→细胞表面改
变→基因调控异常→癌变或
❷致癌物
→基因调控异常→细胞表面改变→癌

上述假说虽各有根据,但都不能全面说明癌变问题,有待进一步深入研究。
化学致癌过程 化学致癌是一个多阶段过程,近年来较重视化学致癌过程中各阶段分子水平和细胞水平的研究,对于了解肿瘤发病机理很重要。根据皮肤癌及肝癌的实验研究,化学致癌过程大致可分为起始阶段和促进阶段,各阶段的主要变化见下表。

化学致癌过程中各阶段的主要表现

 生 化 变 化形态变化特点
化学致癌的
起始阶段
(1)致癌物的代谢激活
以及与细胞DNA、
RNA蛋白质的结

(2)细胞DNA受损
(3)DNA的修复与复
细胞增生短暂的
不可逆的
化学致癌的
促进阶段
细胞基因的阻扼和去阻
扼:
(1)鸟氨酸脱羧酶活性
增高
(2)纤维蛋白酶原激活
因子活性增高
(3)组蛋白合成增高
(4)磷脂合成增高
(5)细胞膜成分如蛋白
质(酶)受体、糖脂
等异常(浸润、转
移、失去接触抑制
等)
增生结节
白斑
长期的
可逆的

目前对于化学致癌物在体内的代谢以及致癌原理虽未彻底搞清,但根据现有知识,已可对人类癌瘤的防治提供一些措施。例如,根据大多数化学致癌物的致癌性与对微生物的致突变性有相关关系,发展了对环境中可能存在的致癌物的检测方法; 根据癌瘤出现胚胎性蛋白如甲胎蛋白,发展了对肝癌早期诊断和疗效观察的方法;根据肿瘤发生发展的一些生化特点,正在进一步探索防治肿瘤的有效措施。由于人类肿瘤的发生,大约80%与环境中的化学致癌物或促癌物有关,因此研究这些物质与肿瘤的关系颇为重要。
☚ 物理因素与恶性肿瘤   病毒与恶性肿瘤 ☛
00017820
随便看

 

离鸟网收录3541549条中英文词条,其功能与新华字典、现代汉语词典、牛津高阶英汉词典等各类中英文词典类似,基本涵盖了全部常用中英文字词句的读音、释义及用法,是语言学习和写作的有利工具。

 

Copyright © 2004-2024 vtrois.com All Rights Reserved
更新时间:2026/4/21 4:56:51