网站首页  词典首页


请输入您要查询的字词:

 

字词 勒纳垄断势力指数
类别 中英文字词句释义及详细解析
释义

勒纳垄断势力指数

简称“勒纳指数”。又称“勒纳垄断势力度”。测定垄断企业在价格方面所拥有的垄断势力的程度的指标。由美国经济学家勒纳(Ler-ner, Abba Ptachya,1903—1982)在1934年首先使用。以L表示勒纳指数,P表示产品价格,MC表示生产该产品的边际成本,ε表示该企业产品的需求价格弹性,则计算公式为:

勒纳指数为产品价格减边际成本,再除以价格所得的比率。这个比率是垄断企业的加价率。勒纳指数的值在0~1之间。勒纳指数越大,表明垄断势力越大。勒纳指数为0时,为完全竞争市场。勒纳指数还等于垄断企业产品的需求价格弹性的绝对值的倒数。需求价格弹性一般为负值,加负号是为了使勒纳指数为正值。
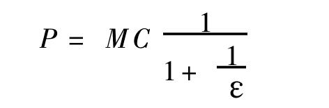
将勒纳指数的计算公式作一些变换,可得出垄断企业的价格关系式:

该式可表明垄断企业与完全竞争企业的产品价格的区别。在完全竞争市场中,单个企业是价格的接受者,单个企业的需求曲线是在市场既定价格下的一条水平线,其产品的需求价格弹性的绝对值为无穷大。这时,价格等于边际成本,即在完全竞争市场中,企业的价格关系式为:

P=M C

而在垄断市场中,垄断企业的需求曲线是一条向右下方倾斜的曲线,其产品的需求价格弹性的绝对值大于1,但不是无穷大。比如,垄断企业产品的需求价格弹性为-4,这时垄断企业的价格关系式为: 

该式表明,垄断企业的价格大于边际成本。垄断企业的价格超过边际成本的幅度,反向取决于产品的需求价格弹性的绝对值。垄断企业产品的需求价格弹性的绝对值越大,则其加价越小,垄断势力就越小。反之,如果垄断企业的产品(如石油)的需求相当缺乏弹性,则该产品价格可以远高于边际成本。
随便看

 

离鸟网收录3541549条中英文词条,其功能与新华字典、现代汉语词典、牛津高阶英汉词典等各类中英文词典类似,基本涵盖了全部常用中英文字词句的读音、释义及用法,是语言学习和写作的有利工具。

 

Copyright © 2004-2024 vtrois.com All Rights Reserved
更新时间:2026/4/19 2:29:40