网站首页  词典首页


请输入您要查询的字词:

 

字词 制霉菌素
类别 中英文字词句释义及详细解析
释义

制霉菌素nystatinum

系一种抗真菌药物。本品对白色念珠菌、隐球菌、滴虫等有抑制作用,临床上主要用于口腔、消化道、阴道、体表等处真菌或滴虫感染。口服1日3~4次,1次50~100万单位,1疗程7~10日;局部可用软膏或栓剂。本品对深部真菌感染无效。

制霉菌素

制霉菌素


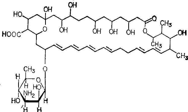
制霉菌素(nystatin)是诺斯什链霉菌Str.noursei、金色链霉菌Str. aureus所产生的四烯抗生素。为浅黄色,两性。
其结构与一般四烯抗生素不同,但和七烯抗生素如两性霉素B、杀念珠菌素相近,皆为38元环,仅在28至29位C缺一双链和7、8、9、10位C所连之辅基有些不同。制霉菌素不溶于水、氯仿、丙酮和己烷,略溶于甲醇、乙醇。
制霉菌素对致病真菌都有一定抑制作用,如白色念珠菌、新型隐球菌、组织胞浆菌、皮炎芽生菌等,最低抑菌浓度在1~3μg/ml。对细菌无活性。制霉菌素口服不吸收,局部应用不能被皮肤或粘膜所吸收。本品毒性较大,故多制成片剂供口服,治疗胃肠道真菌病,或以制霉菌素软膏治疗皮肤真菌病、念珠菌阴道炎,或以气溶吸入治疗肺部真菌病。制霉菌素对阴道滴虫也有一定效果。长期应用广谱抗细菌抗生素时,可口服制霉菌素片剂以防止真菌引起的二重感染。口服成人每日四次,每次50万~100万U。局部用软膏10万~20万U/g或混悬剂10万U/ml。多聚醛制霉菌素可供气溶吸入和膀胱灌注,每次5万U,分别溶于2ml或20~50ml生理盐水中。
☚ 两性霉素B   灰黄霉素 ☛

制霉菌素

nistacin

随便看

 

离鸟网收录3541549条中英文词条,其功能与新华字典、现代汉语词典、牛津高阶英汉词典等各类中英文词典类似,基本涵盖了全部常用中英文字词句的读音、释义及用法,是语言学习和写作的有利工具。

 

Copyright © 2004-2024 vtrois.com All Rights Reserved
更新时间:2026/4/20 20:40:22